1,2-Wittig rearrangement

A 1,2-Wittig rearrangement is a categorization of chemical reactions in organic chemistry, and consists of a 1,2-rearrangement of an ether with an alkyllithium compound.[1] The reaction is named for Nobel Prize winning chemist Georg Wittig.[2][3]

The intermediate is an alkoxy lithium salt, and the final product an alcohol. When R" is a good leaving group and electron withdrawing group such as a cyanide (CN) group,[4] this group is eliminated and the corresponding ketone is formed.

Reaction mechanism

The reaction mechanism centers on the formation of a free radical pair with lithium migrating from the carbon atom to the oxygen atom. The R radical then recombines with the ketyl.[5]

The 1,2-Wittig rearrangement reaction mechanism
The 1,2-Wittig rearrangement reaction mechanism

The alkyl group migrates in the order of thermodynamical stability methyl < primary alkyl < secondary alkyl < tertiary alkyl, this is in line with the radical mechanism. The radical-ketyl pair is short lived and due to a solvent cage effect some isomerizations take place with retention of configuration.

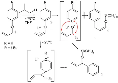
With certain allyl aryl ethers a competing reaction takes place.[5] The reaction of allyl phenyl ether 1 with sec-butyllithium at −78 °C gives the lithiated intermediate 2 which on heating to −25 °C only shows the rearranged product 5 but not 4 after trapping the lithium alkoxide with trimethylsilyl chloride. This result rules out a radical-ketyl intermediate 3a in favor of the Meisenheimer complex 3b. Additional evidence for this mechanism is provided by the finding that with a para tert-butyl substituent the reaction is retarded.

1,2-Wittig rearrangement competing mechanism
1,2-Wittig rearrangement competing mechanism

The reaction is a formal dyotropic reaction.

See also

References

  1. ^ Smith, Michael B.; March, Jerry (2006). March's Advanced Organic Chemistry: Reactions, Mechanisms, and Structure. pp. 1624–1625. doi:10.1002/0470084960. ISBN 9780470084960.
  2. ^ Georg Wittig, L. Löhmann, Ann. 550, 260 (1942)
  3. ^ G. Wittig, Experientia 14, 389 (1958)
  4. ^ Preparation of aryl benzyl ketones by [1,2]-Wittig rearrangement Alan R. Katritzky, Yuming Zhang, Sandeep K. Singh Arkivoc pp. 146–50 2002 (vii) link Archived 28 September 2006 at the Wayback Machine
  5. ^ a b Wittig Rearrangement of Lithiated Allyl Aryl Ethers: A Mechanistic Study Sven Strunk, Manfred Schlosser European Journal of Organic Chemistry Volume 2006, Issue 19, pp. 4393–97 doi:10.1002/ejoc.200600304