Cuscohygrine

Cuscohygrine
Chemical structure of cuscohygrine
Chemical structure of cuscohygrine
Names
Preferred IUPAC name
1-[(2R)-1-Methylpyrrolidin-2-yl]-3-[(2S)-1-methylpyrrolidin-2-yl]propan-2-one
Identifiers
3D model (JSmol)
ChemSpider
KEGG
UNII
  • InChI=1S/C13H24N2O/c1-14-7-3-5-11(14)9-13(16)10-12-6-4-8-15(12)2/h11-12H,3-10H2,1-2H3/t11-,12+
    Key: ZEBIACKKLGVLFZ-TXEJJXNPSA-N
  • CN1CCC[C@@H]1CC(=O)C[C@@H]2CCCN2C
Properties
C13H24N2O
Molar mass 224.348 g·mol−1
Melting point 40–41 °C (104–106 °F; 313–314 K) (trihydrate)
Except where otherwise noted, data are given for materials in their standard state (at 25 °C [77 °F], 100 kPa).
Infobox references

Cuscohygrine is a bis N-methyl pyrrolidine alkaloid found in coca plants. It can also be extracted from plants of the family Solanaceae, including Atropa belladonna (deadly nightshade) and various Datura species. Cuscohygrine usually occurs along with other, more potent alkaloids such as atropine or cocaine.

Cuscohygrine, along with the related metabolite hygrine, was first isolated by Carl Liebermann in 1889 as an alkaloid accompanying cocaine in coca leaves (also known as Cusco-leaves).

Cuscohygrine is an oil that can be distilled without decomposition only in vacuum. It is soluble in water. It also forms a crystalline trihydrate which melts at 40–41 °C.

Biosynthesis

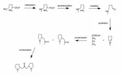
Ornithine is methylated to N-methylornithine and when decarboxylated, becomes N-methylputrescine. 4-methylaminobutanal is yielded from the oxidation of the primary amino-group. 4-methylaminobutanal then cyclizes to an N-methyl-l-pyrrolinium salt. The condensation of the pyrrolinium salt with acetoacetyl coenzyme A yields hygrine. Finally, the condensation of the hygrine molecule with another molecule of pyrrolidinium salt yields cuscohygrine.[1]

Biosynthesis of Cuscohygrine

See also

References

  1. ^ O'Donovan, D. G.; Keogh, M. F. (1969). "The role of hygrine in the biosynthesis of cuscohygrine and hyoscyamine". Journal of the Chemical Society C: Organic (2): 223–226. doi:10.1039/J39690000223.