DMMDA
![]() | |
![]() | |
| Clinical data | |
|---|---|
| Other names | 2,5-Dimethoxy-3,4-methylenedioxyamphetamine; DMMDA-1 |
| Routes of administration | Oral |
| ATC code |
|
| Legal status | |
| Legal status |
|
| Identifiers | |
| |
| CAS Number | |
| PubChem CID | |
| ChemSpider | |
| UNII | |
| ChEMBL | |
| CompTox Dashboard (EPA) | |
| Chemical and physical data | |
| Formula | C12H17NO4 |
| Molar mass | 239.271 g·mol−1 |
| 3D model (JSmol) | |
| |
| |
| (verify) | |
2,5-Dimethoxy-3,4-methylenedioxyamphetamine (DMMDA or DMMDA-1) is a lesser-known psychedelic drug of the amphetamine family related to MMDA.[1] It was first synthesized by Alexander Shulgin in the 1960s and was described in his 1991 book PiHKAL.[1]
Use and effects
Shulgin listed the dosage of DMMDA in PiHKAL as 30 to 75 mg and the duration as 6 to 8 hours.[1] He reported DMMDA as producing LSD-like subjective effects: images, mydriasis, ataxia, and time dilation.[1] DMMDA is not mentioned much in literature outside PiHKAL.[1]
Pharmacology
The mechanism behind the subjective effects of DMMDA has not been specifically established. In PiHKAL, Shulgin asserts that the subjective effects of 75 mg of DMMDA are equivalent to those of 75 to 100 μg of LSD.[1] LSD is a well-known partial agonist of the serotonin 5-HT2A receptor. This may suggest that DMMDA is also an agonist or partial agonist of the 5-HT2A receptor.
DMMDA is equivalent to 12 "mescaline units" in terms of potency. DMMDA's isomer DMMDA-2 is equivalent to 5 "mescaline units" in terms of potency.[2]
Repeated administration of mescaline (3,4,5-trimethoxyphenethylamine), a somewhat similar compound to DMMDA, has shown to slowly create tolerance. This may suggest that the same applies to DMMDA.[3]
Computationally predicted toxicology and metabolism
Computational prediction with ProTox-3.0 predicts that DMMDA has the following toxicological properties from most probable to least probable: respiratorically toxic (P=0.76), nephrotoxic (P=0.58), ecotoxic (P=0.54), and carcinogenic (P=0.51). DMMDA is also predicted to cross the blood–brain barrier (BBB) (P=0.80).[4]

ProTox-3.0's predictions about DMMDA's toxicological properties.
DMMDA is predicted to be metabolized via cytochrome CYP3A4 (P=0.60).[4] DMMDA is somewhat similar to 3,4-methylenedioxy-1-N,α-dimethylphenylethylamine which is primarily metabolized into 3,4-dihydroxy-1-N,α-dimethylphenylethylamine. This may suggest that DMMDA can be metabolized into 3,4-dihydroxy-2,5-dimethoxy-1-α-methylphenylethylamine. The metabolism of 3,4,5-trimethoxyphenylethylamine results in the demethylation of its methoxy groups, which may suggest that metabolism of DMMDA may also result in the demethylation of its methoxy groups.[5][3]
Chemistry

Shulgin explains in his book that DMMDA has 6 isomers similar to TMA.[1] DMMDA-2 is the only other isomer that has been synthesized as of yet. DMMDA-3 could be made from exalatacin (1-allyl-2,6-dimethoxy-3,4-methylenedioxybenzene). Exalatacin can be found in the essential oil of both Crowea exalata and Crowea angustifolia var. angustifolia.[6] In other words, exalatacin is an isomer of both apiole and dillapiole, which can be used to make DMMDA and DMMDA-2 respectively. Additionally, yet another isomer of DMMDA could be made from pseudodillapiole or 4,5-dimethoxy-2,3-methylenedioxyallylbenzene.[7] The last two isomers of DMMDA are 5,6-dimethoxy-2,3-methylenedioxy-1-α-methylphenylethylamine and 4,6-dimethoxy-2,3-methylenedioxy-1-α-methylphenylethylamine.
Like all other α-methylphenylethylamine derivative compounds, DMMDA and its regioisomer have two enantiomers due to the methyl group being in the alpha position of the ethyl group in position number 1 on the benzene ring.[8] There is no information regarding the differences in the pharmacological effects of (S)-DMMDA and (R)-DMMDA.
Shulgin's synthesis
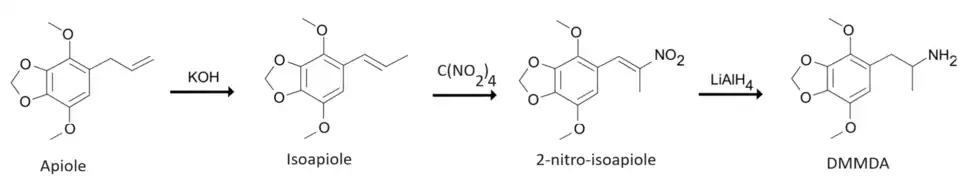
Shulgin describes the synthesis of DMMDA from apiole in his PiHKAL.[1] Apiole is subjected to an isomerization reaction to yield isoapiole by adding to solution of ethanolic potassium hydroxide and holding the solution at a steam bath.[1] Isoapiole is then nitrated via a Knoevenagel condensation to 2-nitro-isoapiole or 1-(2,3-dimethoxy-3,4-methylenedioxyphenyl)-2-nitropropene by adding it to a stirred solution of acetone and pyridine at ice-bath temperatures and treating the solution with tetranitromethane. The pyridine acts as a catalyst in this reaction.[1] 2,5-dimethoxy-3,4-methylenedioxybenzaldehyde can also be used as precursors in this step of the synthesis. The 2-nitro-isoapiole is finally reduced to freebase DMMDA by adding it to a well-stirred and refluxing suspension of diethylether and lithium aluminium hydride under an inert atmosphere.[1] The reduction can also be achieved with pressurized hydrogen. Finally, the freebase DMMDA converted into its hydrochloride salt.[1]

Alexander Shulgin's synthesis of DMMDA.
Other synthetic methods
Shulgin's synthesis of DMMDA can reasonably be considered unsafe, at least by modern standards, since it uses tetranitromethane for its nitration reaction, which is toxic, carcinogenic and prone to detonating.[9] DMMDA can be made from apiole via other safer methods. Among other methods, DMMDA can be synthesized from apiole via the intermediate chemical 2,5-dimethoxy-3,4-methylenedioxyphenylpropan-2-one or DMMDP2P in the same manner as MDA is made from safrole.
DMMDP2P can be made from apiole via a Wacker oxidation with benzoquinone. DMMDP2P can be alternatively made by subjecting apiole to an isomerisation reaction to yield the thermodynamically stabler internal alkene, isoapiole, followed by a peroxyacid oxidation, with for example peracetic acid, and finally a hydrolytic dehydration.[10] Peroxyacids can be made by combining hydrogen peroxide with an acid like formic acid or acetic acid to create performic acid or peracetic acid. It has been suggested that peroxynitric acid could also be used in this synthesis.[11] The oxidation first creates an epoxide in the alkene of isoapiole and then isopaiole glycol's monoformate ester if peracetic acid is used.[12] The hydrolysis is usually acid-catalyzed with a strong acid, such as sulphuric acid or hydrochloric acid, because the strong acid will also result in the intermediary isoapiole monoformyl glycol being dehydrated to DMMDP2P via a pinacol rearrangement. A small amount of the epoxide can form a carboxycation, which can rearrange itself to DMMDP2P, or react with water to form isoapiole glycol. Thus only one reagent, sulphuric acid, is needed for both the hydrolysis and dehydration and both reactions can be done in the same reaction vessel. Then the DMMDP2P can then be subjected to a reductive amination with a source of nitrogen, such as ammonium chloride or ammonium nitrate, and a reducing agent, such as sodium cyanoborohydride, an amalgam of mercury and aluminium or pressurized hydrogen, to yield freebase DMMDA.[13][14][15][16][17]

Alternative synthesis of DMMDA.
General synthetic information
Sodium borohydride usually is not used as a reducing agent due to it being much stronger than sodium cyanoborohydride; this usually results in side products in addition to DMMDA. Reductive aminations are exothermic reactions. Thus it is necessary to employ different methods of cooling the reaction mixture to prevent overheating; this can be accomplished by using a large amount of solvent or an ice bath, for example. The use of a mercury amalgam is unsafe due to mercury's well-known toxic effects on the central nervous system. In addition to peracetic acid, other peroxy acids can be used for the peroxy acid oxidation of isoapiole and other analogues of isoallylbenzene in general. For example, combining nitric acid with hydrogen peroxide would result in the same reaction.[14][15][16][17]
History
DMMDA was first described in the scientific literature by Alexander Shulgin and colleagues by 1967.[18][19]
See also
- Substituted methylenedioxyphenethylamine
- Substituted methoxyphenethylamine
- Dimethoxymethylenedioxyamphetamine
- Methoxymethylenedioxyamphetamine
- 2,3,4,5-Tetramethoxyamphetamine (TeMA)
References
- ^ a b c d e f g h i j k l Shulgin A, Shulgin A (1991). Pihkal: A Chemical Love Story. Transform Press. ISBN 0-9630096-0-5.
- ^ Clare, Brian W. (1990). "Structure-Activity Correlations for Psychotomimetics. 1. Phenylalkylamines: Electronic, Volume, and Hydrophobicity Parameters" (PDF). Journal of Medicinal Chemistry. 33 (7): 687–702. doi:10.1021/jm00164a036. PMID 2299636. Retrieved 2025-01-07.
- ^ a b Kovacic P, Somanathan R (September 2009). "Novel, unifying mechanism for mescaline in the central nervous system: electrochemistry, catechol redox metabolite, receptor, cell signaling and structure activity relationships". Oxidative Medicine and Cellular Longevity. 2 (4). Wiley: 181–190. doi:10.4161/oxim.2.4.9380. PMC 2763256. PMID 20716904.
This article incorporates text available under the CC BY 4.0 license.
- ^ a b Banerjee P, Kemmler E, Dunkel M, Preissner R (July 2024). "ProTox 3.0: a webserver for the prediction of toxicity of chemicals". Nucleic Acids Research. 52 (W1): W513 – W520. doi:10.1093/nar/gkae303. PMC 11223834. PMID 38647086.
- ^ Mueller M, Goodwin AK, Ator NA, McCann UD, Ricaurte GA (2011). "Metabolism and Disposition of 3,4-Methylenedioxymethamphetamine ("Ecstasy") in Baboons after Oral Administration: Comparison with Humans Reveals Marked Differences". The Journal of Pharmacology and Experimental Therapeutics. 338 (1): 310–317. doi:10.1124/jpet.111.180612. PMC 3126644. PMID 21493752.
- ^ Brophy JJ, Goldsack RJ, Punruckvong A, Forster PI, Fookes CJ (July 1997). "Essential oils of the genus Crowea (Rutaceae)". Journal of Essential Oil Research. 9 (4): 401–409. doi:10.1080/10412905.1997.9700740.
- ^ US patent 4,876,277, Burke BA, Nair MG, "Antimicrobial/antifungal compositions", issued 1989-10-24, assigned to Plant Cell Research Institute, Inc., Dublin, Calif.
- ^ Campbell JL, Kafle A, Bowman Z, Blanc JC, Liu C, Hopkins WS (December 2020). "Separating chiral isomers of amphetamine and methamphetamine using chemical derivatization and differential mobility spectrometry". Analytical Science Advances. 1 (4): 233–244. doi:10.1002/ansa.202000066. PMC 10989161. PMID 38716384.
- ^ National Toxicology Program (2011). "Tetranitromethane" (PDF). Report On Carcinogens (12th ed.). National Toxicology Program. Archived (PDF) from the original on 2013-01-31. Retrieved 2012-08-14.
- ^ Cox M, Klass G, Morey S, Pigou P (July 2008). "Chemical markers from the peracid oxidation of isosafrole". Forensic Science International. 179 (1): 44–53. doi:10.1016/j.forsciint.2008.04.009. PMID 18508215.
- ^ Morris H (2022-12-25). "This Chemist Made 200KG of MDA a WEEK". YouTube. Retrieved 2024-12-13.
- ^ Waumans D, Hermans B, Bruneel N, Tytgat J (July 2004). "A neolignan-type impurity arising from the peracid oxidation reaction of anethole in the surreptitious synthesis of 4-methoxyamphetamine (PMA)". Forensic Science International. 143 (2–3): 133–9. doi:10.1016/j.forsciint.2004.02.033. PMID 15240033.
- ^ Braun U, Shulgin AT, Braun G (February 1980). "Centrally active N-substituted analogs of 3,4-methylenedioxyphenylisopropylamine (3,4-methylenedioxyamphetamine)". Journal of Pharmaceutical Sciences. 69 (2): 192–195. doi:10.1002/jps.2600690220. PMID 6102141.
- ^ a b Clayden J, Greeves N, Warren S (2012). Organic Chemistry. Oxford University Press. pp. 234–235. ISBN 978-0-19-927029-3.
- ^ a b Carey FA, Sundberg RJ (2007). Organic Chemistry B: Reactions and Synthesis. Springer. pp. 403–404. ISBN 978-0-387-68350-8.
- ^ a b Smith MB, March J (2007). March's Advanced Organic Chemistry. John Wiley & Sons. pp. 1288–1290. ISBN 978-0-471-72091-1.
- ^ a b Turcotte MG, Hayes KS (2001). Amines, Lower Aliphatic Amines, Kirk-Othmer Encyclopedia of Chemical Technology. New York: John Wiley & Sons.
- ^ Shulgin AT, Sargent T (September 1967). "Psychotrophic phenylisopropylamines derived from apiole and dillapiole". Nature. 215 (5109): 1494–1495. Bibcode:1967Natur.215.1494S. doi:10.1038/2151494b0. PMID 4861200.
- ^ Shulgin AT, Sargent T, Naranjo C (December 1967). "The chemistry and psychopharmacology of nutmeg and of several related phenylisopropylamines". Psychopharmacol Bull. 4 (3): 13. PMID 5615546.

