Nabumetone

Nabumetone
Clinical data
Trade namesRelafen
AHFS/Drugs.comMonograph
MedlinePlusa692022
License data
Routes of
administration
By mouth
ATC code
Legal status
Legal status
Pharmacokinetic data
Protein binding> 99% (active metabolite)
MetabolismLiver, to active metabolite 6-methoxy-2-naphthylacetic acid; 6-MNA
Elimination half-life23 hours (active metabolite)
ExcretionKidney
Identifiers
  • 4-(6-methoxy-2-naphthyl)-2-butanone
CAS Number
PubChem CID
IUPHAR/BPS
DrugBank
ChemSpider
UNII
KEGG
ChEBI
ChEMBL
CompTox Dashboard (EPA)
ECHA InfoCard100.169.752
Chemical and physical data
FormulaC15H16O2
Molar mass228.291 g·mol−1
3D model (JSmol)
  • O=C(C)CCc1ccc2c(c1)ccc(OC)c2
  • InChI=1S/C15H16O2/c1-11(16)3-4-12-5-6-14-10-15(17-2)8-7-13(14)9-12/h5-10H,3-4H2,1-2H3 checkY
  • Key:BLXXJMDCKKHMKV-UHFFFAOYSA-N checkY
 ☒NcheckY (what is this?)  (verify)
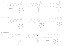
Three step CYP1A2 Mediated Metabolism of the prodrug Nabumetone to its active metabolite 6-MNA.[3]

Nabumetone, sold under the brand name Relafen among others, is a nonsteroidal anti-inflammatory drug (NSAID).[1][4] Nabumetone was developed by Beecham and first received regulatory approval in 1991.[5]

Nabumetone is a non-acidic NSAID prodrug that is rapidly metabolized in the liver to the active metabolite, 6-methoxy-2-naphthyl acetic acid. Nabumetone's active metabolite inhibits the cyclooxygenase enzyme and preferentially blocks COX-2 activity (which is indirectly responsible for the production of inflammation and pain during arthritis). The active metabolite of nabumetone is felt to be the compound primarily responsible for therapeutic effect. Comparatively, the parent drug is a poor inhibitor of COX-2 byproducts, particularly prostaglandins. It may be less nephrotoxic than indomethacin.[6] There are two known polymorphs of the compound.[7] Nabumetone has little effect on renal prostaglandin secretion and less of an association with heart failure than other traditional drugs of the class.[8] Effects of nabumetone on blood pressure control in hypertensive patients on ACE inhibitors are also good, equivalent to paracetamol.[9]

In 2023, it was the 271st most commonly prescribed medication in the United States, with more than 800,000 prescriptions.[10][11]

Medical uses

Nabumetone is indicated for relief of signs and symptoms of osteoarthritis and rheumatoid arthritis.[1]

Side effects

Side effects include bloody or black, tarry stools; change in color, frequency, or amount of urine; chest pain; shortness of breath; coughing up blood; pale stools; numbness; weakness; flu-like symptoms; leg pain; vision problems; speech problems; problems walking; weight gain; stomach pain; cold sweat; skin rash; blisters; headache; swelling; bleeding; bruising; vomiting blood; jaundice; diarrhea; constipation; dizziness; indigestion; gas; nausea; and ringing in the ears.[12]

In October 2020, the US Food and Drug Administration (FDA) required the prescription drug label to be updated for all nonsteroidal anti-inflammatory medications to describe the risk of kidney problems in unborn babies that result in low amniotic fluid.[13][14] They recommend avoiding NSAIDs in pregnant women at 20 weeks or later in pregnancy.[13][14]

Society and culture

Brand names

It is sold under many brand names, including Relafen,[1] Relifex, and Gambaran.

References

  1. ^ a b c d "Relafen- nabumetone tablet". DailyMed. 15 July 2021. Retrieved 2 December 2024.
  2. ^ "Relafen DS- nabumetone tablet". DailyMed. 8 January 2024. Retrieved 2 December 2024.
  3. ^ Varfaj F, Zulkifli SN, Park HG, Challinor VL, De Voss JJ, Ortiz de Montellano PR (May 2014). "Carbon-carbon bond cleavage in activation of the prodrug nabumetone". Drug Metabolism and Disposition. 42 (5): 828–838. doi:10.1124/dmd.114.056903. PMC 3989788. PMID 24584631.
  4. ^ Gonzalo-Garijo MA, Cordobés-Duran C, Lamilla-Yerga AM, Moreno-Gastón I (2007). "Severe immediate reaction to nabumetone". Journal of Investigational Allergology & Clinical Immunology. 17 (4): 274–276. PMID 17694703.
  5. ^ "Nabumetone Page". RCSB Protein Data Bank. Retrieved 5 August 2021.
  6. ^ Olsen NV, Jensen NG, Hansen JM, Christensen NJ, Fogh-Andersen N, Kanstrup IL (October 1999). "Non-steroidal anti-inflammatory drugs and renal response to exercise: a comparison of indomethacin and nabumetone". Clinical Science. 97 (4): 457–465. doi:10.1042/cs0970457. PMID 10491346. S2CID 33526598.
  7. ^ Price CP, Grzesiak AL, Lang M, Matzger AJ (2002). "Polymorphism of Nabumetone". Crystal Growth & Design. 2 (6): 501–503. Bibcode:2002CrGrD...2..501P. doi:10.1021/cg0255568.
  8. ^ Donnan PT (2000). "098. A Drug-Safety Study to Examine the Possible Association of Congestive Heart Failure with Dispensed Nabumetone, Ibuprofen and other Non-Steroidal Anti-inflammatory Drugs". Pharmacoepidemiology and Drug Safety. 8 (S2): S115. doi:10.1002/(SICI)1099-1557(199908)8:2+<S79::AID-PDS429>3.0.CO;2-2.
  9. ^ Palmer RH, Haig AE, Flavin SK, Iyengar MK (2001). "Effects of ibuprofen (IB), nabumetone (N) and celecoxib (C) on blood pressure (BP) control in hypertensive patients on ACE inhibitors". American Journal of Hypertension. 14 (S1): 85A. doi:10.1016/S0895-7061(01)01811-8.
  10. ^ "The Top 300 of 2023". ClinCalc. Archived from the original on 17 August 2025. Retrieved 17 August 2025.
  11. ^ "Nabumetone Drug Usage Statistics, United States, 2014 - 2023". ClinCalc. Retrieved 17 August 2025.
  12. ^ "Relafen (Nabumetone): Side Effects, Interactions, Warning, Dosage & Uses". RxList. Retrieved 9 March 2018.
  13. ^ a b "FDA Warns that Using a Type of Pain and Fever Medication in Second Half of Pregnancy Could Lead to Complications". U.S. Food and Drug Administration (FDA) (Press release). 15 October 2020. Archived from the original on 16 October 2020. Retrieved 15 October 2020. Public Domain This article incorporates text from this source, which is in the public domain.
  14. ^ a b "NSAIDs may cause rare kidney problems in unborn babies". U.S. Food and Drug Administration. 21 July 2017. Archived from the original on 17 October 2020. Retrieved 15 October 2020. Public Domain This article incorporates text from this source, which is in the public domain.