Nitrafudam

Nitrafudam
Identifiers
CAS Number
PubChem CID
ChemSpider
UNII
ChEMBL
Chemical and physical data
FormulaC11H9N3O3
Molar mass231.211 g·mol−1
3D model (JSmol)
  • C1=CC=C(C(=C1)C2=CC=C(O2)C(=N)N)[N+](=O)[O-]
  • InChI=1S/C11H9N3O3/c12-11(13)10-6-5-9(17-10)7-3-1-2-4-8(7)14(15)16/h1-6H,(H3,12,13)
  • Key:FYUZOMGBPKUZNJ-UHFFFAOYSA-N

Nitrafudam is an antidepressant compound that was developed in the 1970-1980s.[1][2] It contains three functional groups: a nitrobenzene, a furan ring and an amidine.

Synthesis

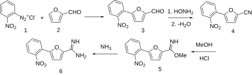
Nitrafudam synthesis
Nitrafudam synthesis

Azo coupling between 2-nitrophenyldiazonium chloride [119-66-4] (1) and furfural (2) leads to 5-(2-nitrophenyl)furfural [20000-96-8] (3). Treatment of the aldehyde with hydroxylamine gives the corresponding aldoxime (PC789659). Upon dehydration, FGI to the nitrile occurs [57666-58-7] (4). A Pinner reaction with anhydrous methanolic hydrogen chloride gives the corresponding imidate (imino-ether) [62821-40-3] (5). An addition-elimination reaction with ammonia causes FGI to an amidine, thus completing the synthesis of nitrafudam (6).

References

  1. ^ Pong SF, Pelosi SS, Wessels FL, Yu CN, Burns RH, White RE, et al. (1983). "5-phenyl-2-furamidines: a new chemical class of potential antidepressants". Arzneimittel-Forschung. 33 (10): 1411–1416. PMID 6140016.
  2. ^ US 3919231, Pelosi SS Jr, White RE, White RL Jr, Wright GC, You CN, issued 1975, assigned to Morton Norwich Products Inc