Roxatidine acetate

Roxatidine acetate
Clinical data
Routes of
administration
Oral
ATC code
Pharmacokinetic data
Bioavailability80–90%
Protein binding5–7%
MetabolismHepatic deacetylation
Minor involvement of CYP2D6 and CYP2A6
Elimination half-life5–7 hours
ExcretionRenal
Identifiers
  • 2-oxo-2-(3-[3-(piperidin-1-ylmethyl)phenoxy]propylamino)ethyl acetate
CAS Number
PubChem CID
DrugBank
ChemSpider
UNII
KEGG
ChEMBL
CompTox Dashboard (EPA)
Chemical and physical data
FormulaC19H28N2O4
Molar mass348.443 g·mol−1
3D model (JSmol)
  • O=C(C)OCC(=O)NCCCOc1cccc(c1)CN2CCCCC2
  • InChI=1S/C19H28N2O4/c1-16(22)25-15-19(23)20-9-6-12-24-18-8-5-7-17(13-18)14-21-10-3-2-4-11-21/h5,7-8,13H,2-4,6,9-12,14-15H2,1H3,(H,20,23) checkY
  • Key:SMTZFNFIKUPEJC-UHFFFAOYSA-N checkY
 ☒NcheckY (what is this?)  (verify)

Roxatidine acetate is a specific and competitive histamine H2 receptor antagonist drug that is used to treat gastric ulcers, Zollinger–Ellison syndrome, erosive esophagitis, gastro-oesophageal reflux disease, and gastritis.[1][2]

Pharmacodynamic studies showed that 150 mg of roxatidine acetate were optimal in suppressing gastric acid secretion, and that a single bedtime dose of 150 mg was more effective than a dose of 75 mg twice daily in terms of inhibiting nocturnal acid secretion.[1]

It was patented in 1979 and approved for medical use in 1986.[3] It is available in countries including China, Japan, Korea, Germany, Italy, the Netherlands, Greece, and South Africa.[2]

Synthesis

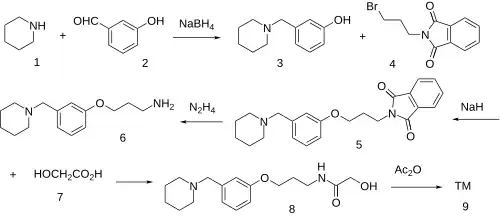
ThiemeChemDrug Synthesis:[4] Patent:[5] Sino revised protocols:[6][7][8][9]

The reductive amination between piperidine (1) and 3-hydroxybenzaldehyde (2) gives 3-(1-piperidinylmethyl)phenol (3). Williamson ether synthesis with N-(3-bromopropyl)phthalimide (4) gives the intermediate 5. Deprotection with hydrazine yields (3-(1-piperidinylmethyl)phenoxy)propylamine (6). Heating with glycolic acid (7) provides roxatidine (8) which is then converted to its acetate ester, roxatidine acetate (9), by acetylation with acetic anhydride.

References

  1. ^ a b Murdoch D, McTavish D (August 1991). "Roxatidine acetate. A review of its pharmacodynamic and pharmacokinetic properties, and its therapeutic potential in peptic ulcer disease and related disorders". Drugs. 42 (2): 240–260. doi:10.2165/00003495-199142020-00006. PMID 1717223. S2CID 46973503.
  2. ^ a b BioSpectrum Bureau 1 November 2012 Sinhuan's generic heart drug gets production approval
  3. ^ Fischer J, Ganellin CR (2006). Analogue-based Drug Discovery. John Wiley & Sons. p. 444. ISBN 9783527607495.
  4. ^ Castaer, J.; Serradell, MN; TZU-0460. Drugs Fut 1985, 10, 12, 995.
  5. ^ Kenyu Shibata, 7 More », EP0024510 (1983 to Teikoku Hormone Mfg. Co., Ltd.).
  6. ^ Zhang Yang, et al. WO2019075976 (to Beijing Xuansheng Pharmaceutical Co Ltd).
  7. ^ Guo Rongyao & Wang Xiaofeng, CN107698538 (2018 to Inner Mongolia Jingdong Pharmaceutical Co Ltd).
  8. ^ 刘占滨, et al. CN102993121 (2013 to HARBIN PHARMACEUTICAL GROUP SANJING PHARMACEUTICAL CO Ltd).
  9. ^ He Minrong, CN101717363 (2012 to Jiangsu Baosheng Longcheng Pharmaceutical Co Ltd).