Α-Pinen
| ||||||||||||||||||||||||||||||||||||||||||||||||||||||||||
| ||||||||||||||||||||||||||||||||||||||||||||||||||||||||||
| Ogólne informacje | ||||||||||||||||||||||||||||||||||||||||||||||||||||||||||
| Wzór sumaryczny |
C10H16 | |||||||||||||||||||||||||||||||||||||||||||||||||||||||||
|---|---|---|---|---|---|---|---|---|---|---|---|---|---|---|---|---|---|---|---|---|---|---|---|---|---|---|---|---|---|---|---|---|---|---|---|---|---|---|---|---|---|---|---|---|---|---|---|---|---|---|---|---|---|---|---|---|---|---|
| Masa molowa |
136,23 g/mol | |||||||||||||||||||||||||||||||||||||||||||||||||||||||||
| Wygląd |
bezbarwna ciecz | |||||||||||||||||||||||||||||||||||||||||||||||||||||||||
| Identyfikacja | ||||||||||||||||||||||||||||||||||||||||||||||||||||||||||
| Numer CAS |
80-56-8 (nieokreślony izomer) | |||||||||||||||||||||||||||||||||||||||||||||||||||||||||
| PubChem | ||||||||||||||||||||||||||||||||||||||||||||||||||||||||||
| ||||||||||||||||||||||||||||||||||||||||||||||||||||||||||
| ||||||||||||||||||||||||||||||||||||||||||||||||||||||||||
| ||||||||||||||||||||||||||||||||||||||||||||||||||||||||||
| ||||||||||||||||||||||||||||||||||||||||||||||||||||||||||
| Jeżeli nie podano inaczej, dane dotyczą stanu standardowego (25 °C, 1000 hPa) | ||||||||||||||||||||||||||||||||||||||||||||||||||||||||||
α-Pinen – organiczny związek chemiczny z grupy cyklicznych monoterpenów. Główny składnik terpentyny otrzymywanej z żywicy sosnowej. Stosowany jest w kosmetyce jako składnik perfum oraz jako surowiec do otrzymywania innych środków zapachowych, np. α-terpineolu, limonenu lub bergaptolu.
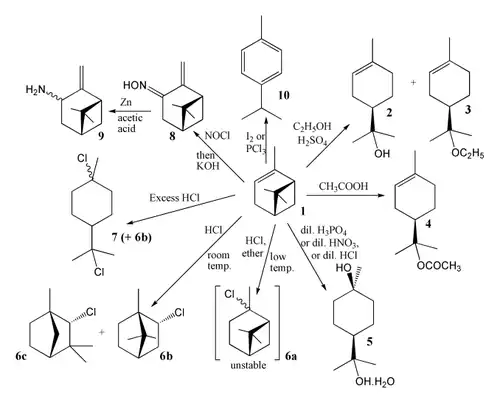
Główne reakcje z udziałem α-pinenu:

Izomery
α-Pinen ma dwa enancjomery, (+)-(1R,5R)-α-pinen oraz (−)-(1S,5S)-α-pinen, obydwa występują w naturze w olejkach eterycznych wielu roślin, głównie iglastych.
Znanych jest też kilka izomerów konstytucyjnych pinenu, różniących się między sobą położeniem wiązania podwójnego. Każdy z nich ma dwa enancjomery, oznaczane zwyczajowo (+) i (−).
| Nazwa | (+)-α-Pinen | (−)-α-Pinen | (+)-β-pinen | (−)-β-Pinen | (+)-cis-δ-Pinen | (−)-cis-δ-Pinen |
| Wzór strukturalny | ![]() |
![]() |
![]() |
![]() |
![]() |
![]() |
| Numer CAS | 7785-70-8 | 7785-26-4 | 127-91-3 | 18172-67-3 | ||
| 80-56-8 (stereochemia pominięta) | 19902-08-0 (stereochemia pominięta)| | |||||
| PubChem | 82227[4] | 440968[5] | 10290825[6] | 440967[7] | 12314302[8] | |
Przypisy
- 1 2 3 4 5 6 α-Pinen (nr 147524) – karta charakterystyki produktu Sigma-Aldrich (Merck) na obszar Polski. [dostęp 2011-05-20]. (przeczytaj, jeśli nie wyświetla się prawidłowa wersja karty charakterystyki)
- 1 2 Farmakopea Polska X, Polskie Towarzystwo Farmaceutyczne, Warszawa: Urząd Rejestracji Produktów Leczniczych, Wyrobów Medycznych i Produktów Biobójczych, 2014, s. 4276, ISBN 978-83-63724-47-4.
- ↑ α-Pinen (nr 147524) (ang.) – karta charakterystyki produktu Sigma-Aldrich (Merck) na obszar Stanów Zjednoczonych. [dostęp 2011-05-20]. (przeczytaj, jeśli nie wyświetla się prawidłowa wersja karty charakterystyki)
- ↑ (+)-alpha-Pinene, [w:] PubChem [online], United States National Library of Medicine, CID: 82227 [dostęp 2024-08-13] (ang.).
- ↑ (-)-alpha-Pinene, [w:] PubChem [online], United States National Library of Medicine, CID: 440968 [dostęp 2024-08-13] (ang.).
- ↑ (+)-beta-Pinene, [w:] PubChem [online], United States National Library of Medicine, CID: 10290825 [dostęp 2024-08-13] (ang.).
- ↑ (-)-beta-Pinene, [w:] PubChem [online], United States National Library of Medicine, CID: 440967 [dostęp 2024-08-13] (ang.).
- ↑ cis-delta-Pinene, [w:] PubChem [online], United States National Library of Medicine, CID: 12314302 [dostęp 2024-08-13] (ang.).


-a-Pinen.svg.png)
-a-Pinen.svg.png)
-b-Pinen.svg.png)
-b-Pinen.svg.png)
-cis-d-pinene.svg.png)
-cis-d-pinene.svg.png)