Diagram Tanabe-Sugano
Diagram Tanabe-Sugano – w spektroskopii i chemii koordynacyjnej, wykres przedstawiający zależność energii termów, od wielkości rozszczepienia orbitalu d. Nazwa pochodzi od nazwiska japońskich naukowców Yukito Tanabe i Satoru Sugano. Podobnym wykresem jest diagram Orgela.
Opis diagramów
W atomach centralnych związków kompleksowych, które zawierają więcej niż jeden elektron zachodzą oddziaływania pomiędzy elektronami a polem ligandów oraz oddziaływanie zwane sprzężeniem Russella-Saundersa. W wyniku tegoż oddziaływania następuje zmniejszenie degeneracji termów i towarzyszące temu rozszczepienie na kilka termów.
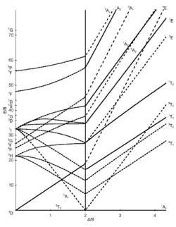
Dla zobrazowania różnic energii jaka towarzyszy rozszczepieniu termów, kreśli się diagramy Tanabe-Sugano. Podobnie jak diagramy Orgela, są one w ogólności zależnością energii termu (E) w funkcji parametru rozszczepienia w polu ligandów (Δ). Jednak w przeciwieństwie do diagramów Orgela, mają one ściśle liniową skalę Δ. Jest to spowodowane wprowadzeniem do diagramów T-S parametru Racah (B). Zarówno energia termu, jak i parametr rozszczepienia jest dzielony przez B. Energia stanu podstawowego jest ustalona jako zero, natomiast energie wszystkich pozostałych termów są kreślone w odniesieniu do termu podstawowego.
Z diagramów Tanabe-Sugano można wyznaczyć wartości Δ i B. Jednak ich sens fizyczny można ocenić tylko po odwołaniu się do wartości B dla swobodnych jonów oraz do szeregu spektrochemicznego (dla Δ).
Przykłady wykresów
Poniżej przedstawiono diagramy Tanabe-Sugano dla kompleksów oktaedrycznych:
diagram T-S dla konfiguracji d2
diagram T-S dla konfiguracji d3
diagram T-S dla konfiguracji d4
diagram T-S dla konfiguracji d5
diagram T-S dla konfiguracji d6
diagram T-S dla konfiguracji d7
diagram T-S dla konfiguracji d8
Diagramy dla konfiguracji d1, d9 i d10 nie istnieją. W konfiguracjach d1 i d9 jest możliwe tylko jedno przejście elektronu, zatem istnieje tylko jeden stan wzbudzony (o energii rozszczepienia Δ większej od stanu podstawowego. Atom o konfiguracji d10 ma całkowicie zapełniony orbital d i nie wykazuje przejść elektronowych.
Zalety względem diagramów Orgela
Diagramy Tanabe-Sugano są uznawane za lepsze niż diagramy Orgela z kilku powodów:
- diagramy T-S obrazują wszystkie możliwe przejścia, a nie tylko przejścia termów o najwyższej multipletowości
- dla konfiguracji d4-d7 uwzględnia zarówno kompleksy wysoko- i niskospinowe
Bibliografia
- S. F. A. Kettle: Fizyczna chemia nieorganiczna: na przykładzie chemii koordynacyjnej. Warszawa: Wydawnictwo Naukowe PWN, 1999, s. 209-212. ISBN 83-01-12840-2.
- Catherine E. Housecroft, Alan G. Shapre: Inorganic chemistry. Wyd. 2. Harlow: Pearson, 2005, s. 577. ISBN 0130-39913-2. (ang.).
- Stephen F. Pavkovic: From Orgel to Tanabe Sugano Diagrams. Loyola University of Chicago. [dostęp 2017-05-23]. (ang.).
- Robert J. Lancashire: Calculations using Tanabe-Sugano diagrams. The University of West Indies. [dostęp 2012-05-13]. (ang.).