Grupa karbonylowa

Grupa karbonylowa – grupa funkcyjna występująca w wielu typach związków organicznych, składająca się z atomu węgla połączonego wiązaniem podwójnym z atomem tlenu. Zapisywana skrótowo jako CO, -C(O)- lub >C=O. Atom węgla w grupie karbonylowej ma hybrydyzację sp2, w wyniku czego jest ona płaska. Najczęściej kojarzona jest z ketonami i aldehydami, w których połączona jest jedynie z atomami węgla i wodoru.
| Grupa związków | Aldehydy | Ketony | Keteny | Kwasy karboksylowe | Estry | Amidy | Enony | Halogenki kwasowe | Bezwodniki kwasowe |
| Wzór strukturalny | ![]() | ![]() | ![]() | ![]() | ![]() | ||||
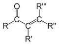
| Wzór półstrukturalny | RCHO | RCOR' | RR'=C=O | RCOOH | RCOOR' | RCONR'R'' | RC(O)C(R')CR''R''' | RCOX | (RCO)2O |
| Nazwa grupy funkcyjnej | aldehydowa | ketonowa | ketenowa | karboksylowa | estrowa | amidowa | ketonowa sprzężona z wiązaniem C=C | – | – |




