Kompleksy alkilowe
Kompleksy alkilowe – związki metaloorganiczne, w których występują pojedyncze wiązania chemiczne sigma węgiel-metal. Przez ligandy alkilowe w chemii metaloorganicznej rozumie się zwykle nie tylko tradycyjne grupy alkilowe, ale też wszelkie grupy węglowodorowe (nawet aromatyczne), które łączą się z metalami wiązaniami σ-pojedynczymi.
Pierwszy związek metaloalkilowy otrzymano już w 1848 r. (E. Frankland, ZnEt2), a tetraetyloołów (PbEt4) został w 1922 r. zastosowany na masową skalę jako dodatek antystukowy do benzyny. Prawdziwy rozwój badań nad tego rodzaju połączeniami nastąpił dopiero w latach 50. XX w. Do tego czasu długo sądzono, że wiązania metal-alkil z metalami przejściowymi są nietrwałe, na skutek zupełnie błędnych obliczeń teoretycznych mocy tych wiązań. W rzeczywistości jednak wiązanie to z wieloma metalami przejściowymi jest silniejsze od wiązań z metalami grup głównych, jednak ulega ono zerwaniu na skutek tzw. β-wodoroeliminacji, ze względu na interakcje między wolnym orbitalami d metalu z orbitalami s wodoru:

podczas gdy atomy metali grup głównych nie mają takiej możliwości i termiczne zerwanie wiązania M-C zachodzi przy wykorzystaniu zwykłego mechanizmu wolnorodnikowego:
- PbEt4 → Pb. + 4 Et.
Powoduje to, że uzyskanie stabilnych związków alkilowych z metalami przejściowymi wymaga albo całkowitego zapełnienia wszystkich ich orbitali d dodatkowymi ligandami, albo użycia ligandów alkilowych o bardzo dużej zawadzie przestrzennej, utrudniającej β-wodoroeliminację.
Otrzymywanie
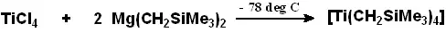
Kompleksy alkilowe można otrzymywać m.in. poprzez:
- alkilowanie chlorków metali:
- addycję alkenów do wodorków metali i spontaniczną przemianę σ-π kompleksów alkenowych do alkilowych:

Własności
Wiązania węgiel-metal w kompleksach alkilowych łatwo pękają pod pływem ataku elektrofilowego:

Najważniejszą z praktycznego powodu reakcją tych związków jest spontaniczny przeskok ligandu alkilowego na drugi ligand, który posiada atom węgla o własnościach elektrofilowych:

Reakcja ta jest bardzo częstym etapem wielu cykli katalitycznych reakcji stosowanych w przemyśle na masową skalę, takich jak: polimeryzacja etylenu czy reakcja hydroformylowania:

Bibliografia
- M. Bochmann, Organometallics 1, seria: Oxford Chemistry Primer, Oxford University Press, 1992.