Kwas Kempa
| |||||||||||||
| |||||||||||||
| Ogólne informacje | |||||||||||||
| Wzór sumaryczny |
C12H18O6 | ||||||||||||
|---|---|---|---|---|---|---|---|---|---|---|---|---|---|
| Masa molowa |
258,27 g/mol | ||||||||||||
| Wygląd |
krystaliczne ciało stałe | ||||||||||||
| Identyfikacja | |||||||||||||
| Numer CAS | |||||||||||||
| PubChem | |||||||||||||
| |||||||||||||
| |||||||||||||
| |||||||||||||
| |||||||||||||
| Jeżeli nie podano inaczej, dane dotyczą stanu standardowego (25 °C, 1000 hPa) | |||||||||||||
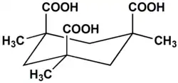
Kwas Kempa – organiczny związek chemiczny, kwas trójkarboksylowy będący pochodną cykloheksanu. Związek ten wykorzystuje się do syntezy receptorów molekularnych[2] oraz w badaniach modelowania miejsc aktywnych enzymów[3][4].
Grupy karboksylowe są w pozycjach aksjalnych, a grupy metylowe w pozycjach ekwatorialnych. Związek ten został otrzymany w 1981 roku przez Daniela S. Kempa[5].
Kwas Kempa jest związkiem, który tworzy z różnymi aminami kryształy o skomplikowanej sieci wiązań wodorowych tworząc struktury supramolekularne[6][7][8].

Przypisy
- ↑ Kwas Kempa (nr 342289) – karta charakterystyki produktu Sigma-Aldrich (Merck) na obszar Polski. [dostęp 2018-01-28]. (przeczytaj, jeśli nie wyświetla się prawidłowa wersja karty charakterystyki)
- ↑ Julius Rebek, Molecular Recognition with Model Systems, „Angewandte Chemie International Edition in English”, 29 (3), 1990, s. 245–255, DOI: 10.1002/anie.199002451 (ang.).
- ↑ Bogumił Brzezinski i inni, Model Molecules for the Active Centre of Alcoholdehydrogenases–An FT-IR Study, „Biochemical and Biophysical Research Communications”, 231 (2), 1997, s. 473–476, DOI: 10.1006/bbrc.1997.6128 (ang.).
- ↑ Bogumił Brzezinski, Hanna Urjasz, Georg Zundel, A Model Molecule of the Hydrogen-Bonded Chain in the Active Site of Bacteriorhodopsin, „Biochemical and Biophysical Research Communications”, 219 (1), 1996, s. 273–276, DOI: 10.1006/bbrc.1996.0217 (ang.).
- ↑ Daniel S. Kemp, Konstantinos S. Petrakis, Synthesis and conformational analysis of cis, cis-1,3,5-trimethylcyclohexane-1,3,5-tricarboxylic acid, „Journal of Organic Chemistry”, 46 (25), 1981, s. 5140–5143, DOI: 10.1021/jo00338a014 (ang.).
- ↑ Adam Huczyński i inni, Cocrystals of Kemp’s triacid. Part I: Molecular structure of 2:2 complex of 1,5,7-triazabicyclo[4.4.0]dec-5-ene with Kemp’s triacid, „Journal of Molecular Structure”, 888 (1–3), 2008, s. 84–91, DOI: 10.1016/j.molstruc.2007.11.032 (ang.).
- ↑ Adam Huczyński i inni, Cocrystals of Kemp’s triacid. Part II. Molecular structure of the complex of Kemp’s triacid with 1,8-diazabicyclo[5.4.0]undec-7-ene, „Journal of Molecular Structure”, 889 (1–3), 2008, s. 64–71, DOI: 10.1016/j.molstruc.2008.01.021 (ang.).
- ↑ Adam Huczyński i inni, Cocrystals of Kemp’s triacid. Part III: Structure of hydrogen-bonded complex of Kemp’s triacid with 1,1,3,3-tetramethylguanidine studied by X-ray and FT-IR methods, „Journal of Molecular Structure”, 892 (1–3), 2008, s. 414–419, DOI: 10.1016/j.molstruc.2008.06.011 (ang.).
- ↑ T. Hirose i inni, (1α,3α,5α)-1,3,5-Trimethyl-1,3,5-cyclohexanetricarboxylic Acid Acetonitrile Solvate, „Acta Crystallographica Section C Crystal Structure Communications”, 54 (8), 1998, s. 1143–1144, DOI: 10.1107/s0108270198001024 (ang.).
