Lemat o pompowaniu dla języków regularnych

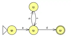
Przykład automatu akceptującego język spełniający lemat o pompowaniu – a(bc)*d

Lemat o pompowaniu dla języków regularnych – twierdzenie najczęściej używane do dowodzenia, że dany język formalny nie jest językiem regularnym. Lemat brzmi[1]:

Jeśli jest językiem regularnym, to istnieje takie że istnieje podział na podsłowa t.że:

Nieformalnie lemat orzeka, że każde dostatecznie długie słowo w języku regularnym może być „pompowane”, tj. jego pewna środkowa część może zostać powielona dowolną liczbę razy, a powstałe słowo nadal będzie należeć do danego języka.

Przykład zastosowania

Udowodnijmy, że język słów postaci dla nie jest regularny.

Załóżmy, że jest on regularny. Niech będzie stałą z lematu o pompowaniu. Weźmy teraz słowo i jego podział spełniający warunki lematu. musi leżeć w całości w części słowa. Inne podziały nie są możliwe, ponieważ więc sytuacja, w której dla pewnego nie może mieć miejsca. Mamy więc podział Zgodnie z lematem do języka należeć musiałoby też słowo które ma jednak więcej niż i do języka nie należy.

Pokazaliśmy, że dla każdego podziału spełniającego warunki lematu istnieje wyprowadzające słowo poza język. Stąd badany język nie jest regularny.

Dowód

Niech będzie językiem regularnym. Istnieje wtedy deterministyczny automat skończony t.że [2]. Załóżmy, że ma stanów. Niech będzie dowolnym słowem o długości co najmniej Wczytanie wymaga wykonania co najmniej przejść w automacie, co oznacza, że ścieżka odpowiadająca odwiedzi co najmniej stanów (wliczając stan startowy). Z zasady szufladkowej wynika, że co najmniej jeden stan pojawi się na ścieżce dwukrotnie.

Niech dla będzie podsłowem takim, że w trakcie wczytywania po wczytaniu i znalazł się w tym samym stanie dla najmniejszego możliwego Zauważmy, że gdyby tak nie było, moglibyśmy zastosować powyższy argument do początkowego fragmentu długości dostając kończące się wcześniej niż co byłoby sprzeczne z minimalnością wyznacza podział

  • oznaczmy jako
  • ( bez pierwszej litery) oznaczmy jako
  • oznaczmy jako

przy czym:

  • ponieważ
  • ponieważ

Po wczytaniu automat znajdzie się w stanie Wiemy, że po wczytaniu ten stan się nie zmieni, oraz że czytane od stanu doprowadzi automat do stanu akceptującego. Możemy wobec tego powielić tworząc Po wczytaniu znajdzie się w stanie akceptującym, a więc co kończy dowód.

Zobacz też

Przypisy

  1. John E. Hopcroft, Introduction to Automata Theory, Languages, and Computation (3rd Edition), Rajeev Motwani, Jeffrey D. Ullman, Pearson, 2006, s. 128, ISBN 978-0321455369.
  2. John E. Hopcroft, Introduction to Automata Theory, Languages, and Computation (3rd Edition), Rajeev Motwani, Jeffrey D. Ullman, Pearson, 2006, s. 92, ISBN 978-0321455369.