Mostek (elektronika)


.jpg)
Mostek – równoległe połączenie co najmniej dwóch dzielników napięcia. Napięciem wyjściowym mostka jest napięcie pomiędzy punktami wyjściowymi dzielników napięcia.
Jedną z największych zalet układu mostkowego jest to, że może on zostać doprowadzony do punktu równowagi – napięcie wyjściowe mostka zrównoważonego jest równe zero, co jest często wykorzystywane w mostkach pomiarowych. Obecnie mostki pomiarowe są coraz rzadziej wykorzystywane z uwagi na nieustający rozwój stosunkowo tanich i coraz dokładniejszych wszelkiego rodzaju mierników cyfrowych. Niemniej, w powszechnym użyciu są również mostki niezrównoważone pracujące nie tylko w punkcie równowagi.
Układy mostkowe mogą być zbudowane również z elementów nieliniowych, takich jak np. diody prostownicze. Zasilenie mostka prostowniczego, zwanego powszechnie mostkiem Graetza, napięciem przemiennym powoduje wyprostowanie takiego napięcia. Mostki prostownicze mogą być stosowane do prostowania napięcia jednofazowego i trójfazowego.
Mostki pomiarowe zasilane napięciem stałym
Warunek równowagi mostka liniowego
Jeśli mostek zbudowany jest z elementów liniowych, np. oporników i jest zasilany prądem/napięciem stałym, wówczas warunek równowagi takiego mostka jest następujący:
Mostek Wheatstone’a

Zasada mostka pracującego w punkcie równowagi jest wykorzystana w mostku Wheatstone’a. Warunkiem równowagi dla takiego mostka jest:
Zazwyczaj, stosunek oporników R3 do R4 może być ustawiany na jedną z następujących wartości: 0,01; 0,1; 1; 10; itd., co umożliwia zmianę zakresu mostka. Wartość rezystancji opornika R2 może być płynnie regulowana tak, aby osiągnąć stan równowagi mostka. Zatem znając wartości rezystancji R2, R3 i R4 można dokładnie wyznaczyć nieznaną wartość rezystancji Rx.
Czułość mostka Sm zależy od napięcia wejściowego (zasilającego) Uwe oraz zmiany wartości rezystancji R2:
Rozdzielczość pomiaru zależy od: czułości Su urządzenia pomiarowego wykrywającego napięcie wyjściowe, stosunku rezystancji wewnętrznych mostka, rezystancji wewnętrznej Ru urządzenia pomiarowego, całkowitej rezystancji Rm mostka (rezystancji widzianej z zacisków wejściowych), czułości mostka oraz wartości napięcia zasilającego (wejściowego):
Z powyższego równania wynika, że rozdzielczość jest tym większa (czyli wartość dR jest mniejsza) im większa jest czułość urządzenia pomiarowego. Rozdzielczość rośnie również ze wzrostem napięcia zasilania, jednak wartość napięcia jest ograniczona od góry z uwagi na dopuszczalną moc wydzielaną na opornikach mostka. Jeśli moc ta będzie zbyt duża dojdzie do trwałego uszkodzenia.
W przypadku pomiarów bardzo małych wartości rezystancji (w praktyce poniżej 1 Ω) nie można pominąć wartości rezystancji przewodów doprowadzających, którymi dołączony jest rezystor Rx, jak również i ewentualnych sił elektromotorycznych powstających z uwagi na zjawisko Seebecka. Zjawisko to można stosunkowo łatwo wyeliminować poprzez wykonanie tego samego pomiaru dla dodatniego i ujemnego kierunku zasilania – wartość średnia z obydwu pomiarów będzie wartością poprawną. Niemniej jednak, nie można w ten sposób wyeliminować wpływu rezystancji przewodów doprowadzających.
Dlatego też, do pomiaru małych rezystancji używa się opisanego poniżej mostka Kelvina.
Praktyczne zastosowanie ma również techniczny mostek Wheatstone’a, który jest co prawda mniej dokładny, ale w zamian mniejszy i wygodniejszy w użyciu. Mniejsza dokładność w porównaniu z mostkiem laboratoryjnym jest wynikiem mniej czułego (za to bardziej odpornego na wstrząsy) galwanometru, a także z powodu wprowadzeniu rezystora drutowego ze stykiem ślizgowym, który służy do płynnego równoważenia układu. W niektórych rozwiązaniach rolę galwanometru spełnia układ dwóch diod luminescencyjnych: czerwonej i zielonej. Wartość mierzonego oporu odczytuje się bezpośrednio z odpowiednio wyskalowanego rezystora regulującego. Jeśli diody migają naprzemiennie, wówczas ustawiona jest poprawna wartość rezystancji (mostek jest w równowadze). Jeśli którakolwiek z diod świeci ciągle, to ustawiona wartość jest zbyt mała (dioda czerwona) lub zbyt duża (dioda zielona).
Mostek Thomsona (mostek Kelvina)

Mostek Thomsona (zwany również mostkiem Kelvina) jest modyfikacją mostka Wheatstone’a. Warunkiem równowagi dla mostka Kelvina jest:
Rezystancja R powinna posiadać jak najmniejszą wartość, dlatego też połączenie takie wykonywane jest jako krótki i gruby odcinek przewodu o małej rezystancji (wykonany np. z miedzi). Jeśli warunek R3·R4'= R3'·R4 jest spełniony (oraz R jest małe), wówczas wpływ ostatniego składnika powyższego równania staje się zaniedbywalny i można przyjąć że:
W takim przypadku warunek równowagi mostka Thomsona jest analogiczny jak dla mostka Wheatstone’a. Mostek Thomsona pozwala na pomiar rezystancji w zakresie 0,000001-10 Ω.
Mostki niezrównoważone
Mostki niezrównoważone są wykorzystywane głównie jako przetworniki zmiany rezystancji (znacznie rzadziej impedancji) na napięcie wyjściowe. W ogólnym przypadku, napięcie wyjściowe mostka spełnia następujące równanie (oznaczenia jak dla pokazanego powyżej mostka Wheatstone’a):
co czasem upraszczane jest do postaci:
gdzie S jest czułością mostka[1].
Najbardziej korzystnym układem jest wykorzystanie dwóch elementów zmieniających rezystancję połączonych przeciwsobnie – następuje wówczas zdwojenie efektu względnej zmiany wartości.
Zmiany napięcia wyjściowego mostka niezrównoważonego są nieliniowe, co powoduje komplikacje w przypadku wykorzystania takiego mostka do pomiarów zmiany rezystancji. Niemniej jednak nieliniowość nie zawsze jest wadą. Termistory posiadają nieliniową zależność rezystancji od temperatury. W takim przypadku można odpowiednio zaprojektować mostek tak, aby nieliniowość własna mostka kompensowała nieliniowość użytych termistorów.
Można również wykorzystać dodatkowe elementy elektroniczne (np. multiplikatory lub układy oparte na wzmacniaczach operacyjnych) do linearyzacji napięcia wyjściowego mostków niezrównoważonych.
Mostki pomiarowe zasilane napięciem przemiennym
Oprócz równowagi rezystancji, dla mostka zasilanego napięciem przemiennym musi zostać spełniony dodatkowy warunek, z uwagi na ewentualne przesunięcie fazowe powodowane obecnością reaktancji. W takim przypadku warunkiem równowagi mostka jest układ równań:
gdzie:
- – impedancję,
- – kąt przesunięcia fazowego w każdej z gałęzi mostka.
Dlatego też, w celu zrównoważenia takiego mostka należy dokonać regulacji co najmniej dwóch niezależnych elementów. Proces równoważenia polega więc na stopniowym zbliżaniu się do punktu równowagi poprzez naprzemienne regulowanie każdego z dwóch elementów. Co więcej, mostek daje się zrównoważyć zazwyczaj tylko dla określonej częstotliwości napięcia zasilającego – zmiana częstotliwości powoduje wyjście z punktu równowagi.
Istnieje bardzo wiele odmian mostków prądu przemiennego, są to m.in. mostki: Wiena, Maxwella, Scheringa, Haya, Owena, Andersona, de Sauty’ego, mostek z gałęzią Wagnera itd. Różnią się one głównie tylko rozmieszczeniem i połączeniem elementów w ramionach mostka. Dodatkowo każdy z tych mostków może występować w zmodyfikowanej wersji lub w kombinacjach z innymi typami mostka (np. mostek Maxwella-Wiena, mostek de Sauty-Wiena itd.) Niemniej jednak, najstarszym i stosunkowo najszerzej znanym jest mostek Wiena.
Mostek Wiena

Zrównoważenie mostka Wiena następuje przy spełnieniu obydwu następujących warunków:
oraz
gdzie ω = 2·π·f (f – częstotliwość napięcia zasilającego).
Jak widać punkt równowagi zależy od częstotliwości. Dlatego też, mostek Wiena jest używany raczej rzadko do pomiaru pojemności, ale jest stosowany jako element układów oscylacyjnych, ponieważ:
Mostek z gałęzią Wagnera (masa Wagnera)

W mostkach zasilanych napięciem przemiennym występuje problem pojemności pasożytniczych, które są bardzo trudne do wyeliminowania, nawet poprzez użycie odpowiedniego ekranowania. W takim przypadku stosuje się czasami układ zwany gałęzią Wagnera lub masą Wagnera.
Masa Wagnera utworzona jest poprzez dołączenie w istniejący już mostek dodatkowej gałęzi składającej się z impedancji Z5 i Z6. Powoduje to powstanie dwóch wzajemnie połączonych mostków. Najpierw doprowadza się do stanu równowagi mostek Z1Z3Z5Z6. Następnie, przy użyciu przełącznika, przełącza się na mostek Z1Z2Z5Z6 i dokonuje jego równoważenia. (Czasem proces należy wielokrotnie powtórzyć, aby w sposób stopniowy dojść do stanu równowagi). Kiedy obydwa mostki są zrównoważone wówczas potencjały punktów a, b i e są takie same i równe zeru, co powoduje, że pojemności Cae i Cbe nie zakłócają rozpływu prądów (podobnie jak Cde i Cce).
Mostek Boucherota
W mostku tym dwie gałęzie mają odpowiednio: cewkę idealną i kondensator idealny, które spełniają zależność:
Impedancje pozostałych gałęzi wynoszą:
Taki układ połączeń mostka przy stałych parametrach L, C oraz stałej częstotliwości napięcia zasilającego zachowuje się w ten sposób, jak gdyby w gałęzi środkowej działało źródło prądu. Dlatego też układ taki nazywany jest układem transformującym źródło napięcia na źródło prądu.
Mostek Scheringa
Mostkiem Scheringa wyznacza się współczynnik strat dielektryka oraz przenikalność elektryczną dielektryków.
Mostek Maxwella
Mostek Maxwella to indukcyjny mostek prądu przemiennego do wyznaczania parametrów cewek.
Mostek Behrendta
Mostek Behrendta to mostek zasilany induktorem służący do pomiaru rezystancji uziemienia metodą kompensacyjną.
Kompensatory

Kompensatory nie są mostkami w ścisłym tego słowa znaczeniu, niemniej jednak ich działanie jest bardzo podobne do działania dzielników (schematy elektryczne składają się również z równolegle połączonych gałęzi). Kompensator może zostać doprowadzony do stanu równowagi nie tylko poprzez zmianę elementów pasywnych (rezystorów), ale przede wszystkim poprzez zmianę wartości napięć zasilających w dowolnej z gałęzi.
Ideę kompensacji (doprowadzenia do stanu równowagi) poprzez zmianę napięć zasilających w układzie wykorzystuje się również w mostkach transformatorowych.


Mostki transformatorowe
Istnieje analogia pomiędzy układem kompensatora i kompensatora transformatorowego. W obydwu układach stan równowagi można osiągnąć przez zmianę wartości dowolnego ze źródeł napięcia.
Taką samą zasadę stosuje się więc w mostkach transformatorowych, w skład których wchodzą dwa transformatory. Stan równowagi można osiągnąć poprzez zmianę napięcia w dowolnej gałęzi mostka, co osiągane jest zazwyczaj poprzez zmianę ilości zwojów w uzwojeniach (za pomocą suwaka – podobnie jak w autotransformatorze):
Mostki transformatorowe posiadają kilka zalet w porównaniu z mostkami impedancyjnymi. Pojemności pasożytnicze mają o wiele mniejszy wpływ i praktycznie nie wpływają na stan równowagi mostka. Również czułość jest znacząco większa. Niemniej jednak, mostek transformatorowy musi zostać odpowiednio zaprojektowany i starannie wykonany aby móc skorzystać z tych zalet, co prowadzi do znacznego zwiększenia ceny takiego mostka.
Jedną z największych zalet mostków transformatorowych jest galwaniczne odizolowanie układu zasilającego, impedancji mierzonych oraz układu napięcia wyjściowego wzajemnie od siebie. Jest to szczególnie ważne w przypadku układów zasilanych wysokim napięciem, które może być potencjalnie groźne dla człowieka. Odizolowanie galwaniczne połączone z możliwością obniżenia napięcia poprzez wbudowany obwód transformujący umożliwia wykonywanie pomiarów w warunkach niedostępnych dla innych metod pomiarowych.
Mostki prostownicze

Mostki prostownicze są wykorzystywane szeroko we wszelkiego rodzaju urządzeniach (zarówno jedno- jak i wielofazowych) zasilanych z sieci napięcia przemiennego. Integralną częścią wszelkiego typu zasilaczy, ładowarek, prostowników jest właśnie mostek prostowniczy.
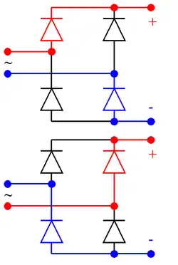
Mostek Graetza (jednofazowy)
Do prostowania napięcia i prądu w układach jednofazowych powszechnie stosuje się układ zwany mostkiem Graetza (używa się również innych rodzajów układów prostowniczych).
Układ taki jest równoległym połączeniem dwóch gałęzi, z których każda składa się z dwóch diod prostowniczych połączonych szeregowo.
Mostek Graetza wykorzystuje nieliniowe właściwości diody prostowniczej. Kiedy prąd płynie w jednym kierunku dwie diody są spolaryzowane w kierunku przewodzenia (prąd płynie) a dwie pozostałe diody w kierunku zaporowym (prąd nie płynie). Przy zmianie kierunku napięcia zasilającego następuje zamiana polaryzacji diod – jednak kierunek napięcia i prądu wyjściowego nie ulega zmianie, czyli następuje proces prostowania napięcia.
Mostek Greatza łączy w sobie prostotę układu elektrycznego z wysoką wydajnością wykorzystania energii źródła zasilania (w porównaniu z innymi typami prostowników).
Mostek trójfazowy (wielofazowy)

Trójfazowy mostek prostowniczy jest rozszerzeniem idei mostka Graetza – z tą różnicą, że połączone są trzy gałęzie równoległe do których odpowiednio podłączone jest napięcie zasilania. Zasada działania jest identyczna do jednofazowego mostka Graetza opisanego powyżej.
Mostki prostownicze stosuje się również w układach wielofazowych. Mostek wielofazowy jest rozszerzeniem układu jednofazowego – liczba gałęzi odpowiada liczbie faz układu wielofazowego.
Mostek prostowniczy sterowany

Jeśli zamiast diod prostowniczych zostaną użyte tyrystory prostownicze wówczas taki mostek jest mostkiem sterowanym. Nieliniowość tyrystorów może być zmieniania w stosunkowo szerokim zakresie, co pozwala na dalsze rozszerzenie funkcjonalności mostka prostowniczego. Ilość energii dostarczonej do odbiornika (zakreskowany obszar) może być regulowana w szerokim zakresie przy wyzwalaniu tyrystorów poprzez odpowiednie impulsy sterujące (niebieskie prostokąty).
Tyrystory mogą być wykorzystane w dowolnym rodzaju mostków prostowniczych – od układów jednofazowych po wielofazowe.
Zobacz też
Przypisy
- ↑ Sławomir Tumański, Principles of electrical measurement, Taylor & Francis, London, United Kingdom, 2006, s. 107.