PRBS
PRBS (ang. pseudo-random bit sequence) – pseudoprzypadkowa (pseudolosowa) sekwencja bitów; w języku polskim używa się także nazwy: sygnał prawie przypadkowy (SPP).
Definicja formalna
Sekwencja binarna jest to sekwencja składająca się z bitów, tj. z jedynek i zer. Sekwencja binarna jest pseudolosowa (PRBS), jeśli jej funkcja autokorelacji ma tylko dwie wartości:
- jeśli
- jeśli
gdzie nazywamy cyklem życia (cyklem powtarzania) ciągu PRBS.
Sekwencja PRBS jest przypadkowa w tym sensie, że wartość elementu jest niezależna od wartości każdego innego elementu, podobnie jak dla prawdziwych sekwencji przypadkowych.
Nazywamy ją sekwencją pseudoprzypadkową, ponieważ jest ona zdeterminowana i po elementach zaczyna się ona powtarzać, co oczywiście nie występuje dla prawdziwych sekwencji przypadkowych, takich jak sekwencje generowane przez źródła radioaktywne lub szum biały.
PRBS jest pojęciem bardziej ogólnym niż n-sekwencja, która jest specjalną pseudoprzypadkową sekwencją bitową składającą się z bitów, generowaną na wyjściu liniowego rejestru przesuwnego. n-sekwencja zawsze ma połówkowy cykl życia i zawiera elementów.
Na przykład wzór PRBS 15 zawiera kombinacji przy czym wyklucza się kombinację składającą się z samych zer.
Metody generowania

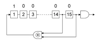
Do generowania[1] ciągów PRBS wykorzystuje się najczęściej rejestr przesuwający ze sprzężeniem zwrotnym realizowanym przez bramkę logiczną typu XOR. Każdy rejestr przesuwający jest stowarzyszony z pewnym wielomianem nad ciałem skończonym. Maksymalną długość mają rejestry przesuwające stowarzyszone z wielomianami pierwotnymi (nierozkładalnymi) w ciele.
Poniższa tabelka podaje bardziej szczegółowe dane na temat spotykanych ciągów PRBS zbudowanych w oparciu o wybrane wielomiany (konkretne wielomiany zostały najprawdopodobniej wybrane ze względu na niewielką liczbę składników):
| Ciągi pseudolosowe | Okres wzorca |
Stowarzyszony wielomian | Sposób włączenia sprzężenia zwrotnego [po rejestrach nr] |
Maksymalny ciąg zer [bit] |
Uwagi/zalecenia def. ciąg |
|---|---|---|---|---|---|
| PRBS 6 | 63 | 5 i 6 | 5 | – | |
| PRBS 9 | 511 | 5 i 9 | 8 | ITU V.52 | |
| PRBS 10 | 1 023 | 7 i 10 | 10 | ITU | |
| PRBS 11 | 2 047 | 9 i 11 | 10 | ITU O.152 | |
| PRBS 15 | 32 767 | 14 i 15 | 15 | ITU O.152' | |
| PRBS 17 | 131 071 | 14 i 17 | 16 | – | |
| PRBS 20 | 1 048 575 | 3 i 20 | 19 | ITU V.57 | |
| PRBS 23 | 8 388 607 | 18 i 23 | 23 | ITU O.151 | |
| PRBS 31 | 2 147 483 647 | 28 i 31 | 30 | Pomiar czasu opóźnienia |
Obszary zastosowań
Sekwencje PRBS używane są w telekomunikacji, do celów kryptograficznych, w technikach symulacyjnych i korelacyjnych oraz w spektroskopii.
Sekwencje PRBS używane są w telekomunikacji do testowania analizatorów transmisji cyfrowych i sprawdzania torów transmisji danych. Definiuje je zalecenie Międzynarodowego Związku Telekomunikacyjnego ITU-T nr O.150.
Praktycznie używane w telekomunikacji sekwencje PRBS
- PRBS 6
- PRBS 6 Invers (wersja zanegowana sekwencji PRBS 6)
- PRBS 9
- PRBS 9 Invers (wersja zanegowana sekwencji PRBS 9)
- PRBS 11
- PRBS 11 Invers (wersja zanegowana sekwencji PRBS 11)
- PRBS 15
- PRBS 15 Invers (wersja zanegowana sekwencji PRBS 15)
- PRBS 20
- PRBS 20 Invers (wersja zanegowana sekwencji PRBS 20)
- PRBS 23
- PRBS 23 Invers (wersja zanegowana sekwencji PRBS 23)
Najczęściej używane w telekomunikacji sekwencje PRBS
- PRBS 6 i PRBS 9 dla przepływności bitowych mniejszych niż 64 kb/s,
- PRBS 11 dla przepływności bitowej 64 kb/s,
- PRBS 15 dla przepływności bitowej 2 Mb/s i 8 Mb/s oraz
- PRBS 23 dla przepływności bitowej 34 Mb/s i 140 Mb/s.
Sekwencje PRBS wykorzystywane sporadycznie
- PRBS 10
- PRBS 10 Invers (wersja zanegowana sekwencji PRBS 10)
- PRBS 17
- PRBS 17 Invers (wersja zanegowana sekwencji PRBS 17)
- PRBS 31
- PRBS 31 Invers (wersja zanegowana sekwencji PRBS 31)
Zobacz też
Przypisy
- ↑ Na podstawie materiałów pochodzących z „Kursu SDH” prowadzonego przez ATR Bydgoszcz, a konkretnie skryptu do wykładu dra inż. Józefa Zalewskiego: „Pomiar sygnałów optycznych”.
Bibliografia
- Correlation. scriptwell.net. [zarchiwizowane z tego adresu (2013-11-11)]. (ang.)