Poliuretany

Poliuretany (skrót PUR lub PU) – polimery powstające w wyniku addycyjnej polimeryzacji wielofunkcyjnych izocyjanianów z poliolami. Cechą wyróżniającą poliuretany od innych polimerów jest występowanie w ich głównych łańcuchach ugrupowania uretanowego [−O−CO−NH−]. Z formalnego punktu widzenia poliuretany są estrowo-amidowymi pochodnymi kwasu węglowego[1].
Poliuretany są polimerami łatwiej topliwymi od poliamidów, dzięki czemu łatwiej się je przetwarza, ale też mają mniejszą odporność mechaniczną. Z poliuretanów produkuje się włókna elastyczne typu spandex (lycra, elastan), elastomery do najróżniejszych zastosowań — od podeszew butów po elementy zawieszenia samochodów — oraz różnego rodzaju pianki oparte na żywicach poliuretanowych. Ilościowo najważniejszym zastosowaniem poliuretanów są pianki[1].
Poliuretany lite
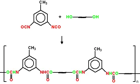
Poliuretany lite można otrzymywać w wyniku reakcji chlorków pochodnych kwasu mrówkowego z aminami, ale dużo częściej stosuje się szybszą i wygodniejszą reakcję poliaddycji izocyjanianów z alkoholami[1]:

Reakcja ta może przebiegać błyskawicznie, z wydzieleniem dużych ilości ciepła bez obecności katalizatorów i bez produktów ubocznych, jednakże w praktyce często występuje konieczność katalizowania reakcji. Jako katalizatory stosowane są najczęściej trzeciorzędowe aminy lub związki metaloorganiczne. Aby uzyskać poliuretany lite o w miarę dobrych własnościach mechanicznych, reakcję tę prowadzi się w temperaturze około 0 °C[2].
Poliuretany lite są tworzywami termoplastycznymi o niższej temperaturze topnienia od analogicznych poliamidów, ale mają one gorsze własności mechaniczne i nie są tak kruche jak poliamidy lite, przynajmniej w temperaturach powyżej 0 °C. Są stosowane m.in. w przemyśle samochodowym (do produkcji klamek, elementów tapicerki, oraz elementów amortyzatorów), w obuwnictwie do produkcji podeszew butów, w hydraulice i pneumatyce jako materiał na uszczelki, a także do wyrobu wielu drobnych elementów galanteryjnych[2].
Pierwotnie do produkcji poliuretanów stosowano proste diole alifatyczne, zwłaszcza 1,4-butanodiol, jednak tego rodzaju materiały były trudne w obróbce i kruche, stąd ich zastosowania były bardzo ograniczone. Dopiero rozpoczęcie przemysłowej produkcji tzw. "polioli" - to jest oligomerów poliestrowych i polieterowych zakończonych grupami hydroksylowymi pozwoliło zwiększyć zakres zastosowań tych polimerów[3]. Współcześnie proste diole i triole alifatyczne są stosowane przy produkcji poliuretanów głównie jako środki sieciujące i przyspieszające wzrost masy cząsteczkowej otrzymywanych polimerów. Do tego samego celu stosuje się też proste, wielofunkcyjne aminy alifatyczne[4].
Wadą poliuretanów jest wrażliwości wiązań uretanowych na czynniki środowiskowe – takie jak światło słoneczne (promieniowanie ultrafioletowe) i kwaśne środowisko, co ogranicza ich stosowanie[1].
Pianki poliuretanowe

Do syntezy pianek poliuretanowych stosuje się prawie wyłącznie aromatyczne izocyjaniany, najczęściej mieszaniny izomerów różnie podstawionych form diizocyjanianotoluenu (głównie 2,4-diizocyjanianotoluenu), łącznie zwanych TDI, oraz mieszaniny różnie podstawionych metylodifenylodiizocyjanianów, wspólnie nazywanych MDI. Drugim reagentem przy produkcji pianek są oligomery z grupami −OH na końcach. Są to albo poliestry albo polietery, które w technologicznej praktyce nazywa się poliolami. Nazwa poliole przyjęła się z tego względu, że niezależnie od chemicznego rodzaju surowca (poliester, polieter, glikol lub inny), do otrzymania pianek (do reakcji) wykorzystuje się tylko obecność grup hydroksylowych. Pianki na bazie poliestrów i MDI są sztywniejsze i mało odporne na czynniki środowiskowe, zaś pianki na bazie polieterów i TDI są bardziej elastyczne i trwalsze[5].
Pianki PU wszystkich rodzajów otrzymuje się w wyniku spontanicznej reakcji między oboma wcześniej wspomnianymi grupami reagentów. Reakcję tę prowadzi się zwykle w temperaturze pokojowej przyspieszając ją dodatkowo katalizatorami, którymi najczęściej są trzeciorzędowe aminy.
Efekt spieniania uzyskuje się na trzy sposoby:
- dodawanie do układu lotnych rozpuszczalników, które parują na skutek samorzutnego ogrzewania się układu reakcji powodując powstawanie porów – aktualnie ten sposób jest w dużym stopniu zarzucony ze względu na szkodliwość dla środowiska
- przepuszczanie przez reagującą mieszaninę gazów obojętnych (zwykle azotu)
- dodawanie do układu reakcji wody – jest to obecnie najczęściej stosowana metoda – gdyż układy z wodą ulegają spienieniu całkowicie samorzutnie; dodatek wody nie pozostaje obojętny na właściwości powstającego poliuretanu, gdyż zwiększa udział wiązań mocznikowych w reagującej masie[2].
W piankach spienianych wodą, czynnikiem powodującym spienianie jest dwutlenek węgla, powstający w wyniku reakcji wody z grupami izocyjanianowymi (reakcja na przykładzie TDI)[1]:

W drugim etapie otrzymane aminy reagują błyskawicznie z TDI, tworząc wiązania mocznikowe:

reakcja żelowania I
Równolegle wyjściowy TDI reaguje także z poliolami:

reakcja żelowania II
Obie ostatnie reakcje prowadzą razem do tworzenia się polimeru i żelowania całego układu. Proporcje między tymi trzema reakcjami, którymi steruje się poprzez dobór rodzaju katalizatora oraz udziału wody w układzie reakcji decydują o rozmiarach porów i własnościach powstającej pianki.
Pianki PU stosuje się masowo w przemyśle meblarskim (gąbki tapicerskie i materacowe), samochodowym (gąbki tapicerskie, sztywne pianki do zderzaków, elementów wystroju wnętrza i amortyzatorów) oraz obuwniczym i tekstylnym (tkaniny z podszewkami gąbczastymi, tkaniny ociepleniowe) i wreszcie stosuje się je jako gąbki do kąpieli i rozmaite materiały izolacyjne, kity uszczelniające, spoiwa i kleje[1][5].
Przypisy
- 1 2 3 4 5 6 Malcolm P. Stevens: Wprowadzenie do chemii polimerów. Warszawa: PWN, 1983, s. 282-287. ISBN 83-01-03110-7.
- 1 2 3 George Woods, „Flexible Polyurethane Foams”, Applied Science Publishers, New Jersey, 1981
- ↑ Seymour, Raymond B., Kauffman, George B.. Polyurethanes: A class of modern versatile materials. „Journal of Chemical Education”. 69 (11), s. 909, 1992. DOI: 10.1021/ed069p909.
- ↑ A Guide To Glycols, The Dow Chemical Company, 1992.
- 1 2 D.C. Allport, D.S. Gilbert, S.M. Outterside: MDI, TDI and the Polyurethane Industry. W: D. C. Allport (Editor), D. S. Gilbert (Editor), S. M. Outterside (Editor): MDI and TDI: Safety, Health and the Environment: A Source Book and Practical Guide. Wiley and Sons, 2003. ISBN 978-0-471-95812-3.