Purpura Ruhemanna

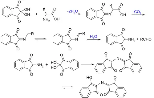
Purpura Ruhemanna (ketohydrindylidenodiketohydrindaminian) – barwny, niebieskofioletowy związek chemiczny powstający w wyniku reakcji ninhydryny z aminokwasami (reakcja ninhydrynowa). Stężenie purpury Ruhemanna jest proporcjonalne do ilości wolnych grup aminowych w badanej próbie aminokwasów lub białek, więc reakcja ninhydrynowa służyć może zarówno jakościowemu, jak i ilościowemu oznaczaniu aminokwasów.
Badania NMR wykazały równocenność protonów aromatycznych w purpurze Ruhemanna (δH 7,95 ppm), a w formie sprotonowanej, proton niearomatyczny (δH 5,0 ppm) jest silnie kwasowy, związany wiązaniem wodorowym i zlokalizowany prawdopodobnie na pierścieniu pięcioczłonowym[1].
Uboczny proces wydzielania dwutlenku węgla podczas dekarboksylacji aminokwasu związanego z ninhydryną wykorzystywany jest do pozyskiwania próbek do oznaczania składu izotopowego kości ze znalezisk archeologicznych[2][3].

Przypisy
- ↑ Donald C. Wigfield, Gerald W. Buchanan, Stephen M. Croteau. On Ruhemann's Purple. „Can. J. Chem.”. 58 (3), s. 201–205, 1980. DOI: 10.1139/v80-032. (ang.). (dostęp wolny)
- ↑ C. I. Keeling, D. E. Nelson, K. N. Slessor. Stable carbon isotope measurements of the carboxyl carbons in bone collagen. „Archaeometry”. 41 (1), s. 151-164, 1999. DOI: 10.1111/j.1475-4754.1999.tb00857.x.
- ↑ C. I. Keeling, D. E. Nelson. Changes in the intramolecular stable carbon isotope ratios with age of the European cave bear (Ursus spelaeus). „Oecologia”. 127 (4), s. 495-500, 2001. DOI: 10.1007/s004420000611.
Bibliografia
- Siegfried Ruhemann. Cyclic di- and tri-ketones. „J. Chem. Soc., Trans.”. 97, s. 1438–1449, 1910. DOI: 10.1039/CT9109701438. (ang.).