Reakcja Appela
Reakcja Appela – reakcja w chemii organicznej, w której alkohol reaguje z czterochlorkiem węgla w obecności trifenylofosfiny, tworząc odpowiedni chlorek alkilowy[1]. Użycie czterobromku węgla, bromu lub bromku litu jako źródła jonów bromkowych pozwala otrzymać odpowiedni bromek alkilowy, podobnie reakcja z jodkiem metylu lub jodem daje jodek alkilowy. Reakcja ta została nazwana od nazwiska Rolfa Appela (1921–2012[2]), jednak została ona opisana wcześniej[3].
Wadą tej reakcji jest stosowanie toksycznych czynników halogenujących, jak również powstawanie związków fosforoorganicznych jako produktów ubocznych, które muszą zostać oddzielone od produktu[4]. Reagent fosforowy może jednak być stosowany w ilościach katalitycznych, jeśli reakcję prowadzi się w obecności stechiometrycznej ilości chlorku oksalilu, który reaguje z powstającym tlenkiem trifenylofosfiny odtwarzając sól fosfoniową [PPh
3Cl]+
2[5]:
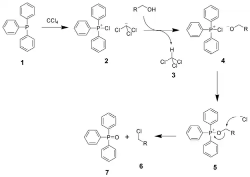
W pierwszym etapie reakcji Appela fosfina (1) tworzy z czterochlorkiem węgla sól fosfoniową (2). Deprotonowanie alkoholu przez anion CCl−
3 z wytworzeniem chloroformu (3), daje alkoksylan (4). Nukleofilowe podstawienie chlorku przez alkoksylan daje produkt pośredni (5). Z alkoholami pierwszo- i drugorzędowymi chlorki reagują zgodnie z mechanizmem substytucji nukleofilowej SN2 tworząc chlorek alkilowy (6) oraz tlenek trifenylofosfiny (7). Alkohole trzeciorzędowe tworząc produkty (6) i (7) reagują z anionem halogenkowym zgodnie z mechanizmem SN1.

Siłą napędową tej i podobnych reakcji jest powstawanie tlenku trifenylofosfiny. Reakcja ta jest nieco podobna do reakcji Mitsunobu, w której fosfina jest akceptorem tlenu, związek diazowy akceptorem wodoru, a nukleofile są stosowane do przemiany alkoholi np. w estry[6].
Zobacz też
Przypisy
- ↑ Rolf Appel. Tertiary Phosphane/Tetrachloromethane, a Versatile Reagent for Chlorination, Dehydration, and P-N Linkage. „Angewandte Chemie International Edition in English”. 14 (12), s. 801–811, 1975. DOI: 10.1002/anie.197508011. (ang.).
- ↑ Die Fachgruppe Chemie trauert um Prof. Dr. Rolf Appel. Uni Bonn. [dostęp 2012-03-05]. (niem.).
- ↑ I. Downie, J. Holmes, J. Lee. Preparation of Alkyl Chlorides Under Mild Conditions. „Chemistry and Industry”. 22, s. 900, 1966.
- ↑ Organophosphorus Reagents in Organic Synthesis. J. Cadogan (red.). London: Academic Press, 1979. ISBN 0-12-154350-1.
- ↑ R.M. Denton i inni, Catalytic Phosphorus(V)-Mediated Nucleophilic Substitution Reactions: Development of a Catalytic Appel Reaction, „J. Chem. Soc.”, 76, 2011, s. 6749–6767, DOI: 10.1021/jo201085r.
- ↑ Michael B. Smith, Jerry March: Advanced Organic Chemistry: Reactions, Mechanisms, and Structure. Wyd. 6. New York: Wiley-Interscience, 2007. ISBN 0-471-72091-7.
Linki zewnętrzne
- Appel Reaction, Organic Chemistry Portal.
