Reakcja Hunsdieckera
Reakcja Hunsdieckera (znana też jako reakcja Borodina od Aleksandra Borodina) – reakcja w chemii organicznej soli srebrowych kwasów karboksylowych z bromem (a także innymi fluorowcami), w wyniku której następuje dekarboksylacja i powstają halogenki alkilowe (halodekarboksylacja)[1][2][3][4]. Reakcja zawdzięcza swą nazwę jej odkrywcom, Heinzowi i Cläre Hunsdieckerom.

Opublikowano wiele jej zastosowań[5][6].
Zamiast soli srebrowych do reakcji Hunsdieckera można stosować także mieszaninę kwasów karboksylowych i tlenku rtęci(II)[7][8].
Mechanizm
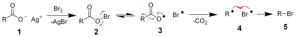
Jest to reakcja rodnikowa i przebiega wieloetapowo. W pierwszym etapie (1) z substratu powstaje nietrwała pochodna kwasu, zawierająca wiązanie O-Br (2), która rozpada się na wolne rodniki (3). Rodnik kwasowy ulega dekarboksylacji z wydzieleniem dwutlenku węgla. Powstały rodnik alkilowy reaguje z atomem bromu (4) tworząc bromoalkan (5).

![]() |
| Animacja |
Reakcja Simoniniego
Reakcja soli srebrowych kwasów karboksylowych z jodem znana jest jako reakcja Simoniniego, zawdzięczająca swą nazwę jej odkrywcy Angelo Simoniniemu. W zależności od stechiometrii substratów ma ona odmienny przebieg. Jeśli stosunek soli do jodu wynosi 1:1, zachodzi ona jak typowa reakcja Hunsdieckera i produktem jest jodoalkan. Zmiana proporcji do 2:1 skutkuje odmiennym produktem, którym jest ester kwasu karboksylowego. W stosunku 3:2 reakcja prowadzi do powstania mieszaniny obu produktów[5][9][10].

Zobacz też
- Redukcja Bartona-McCombiego
- Reakcja Kochiego
Bibliografia
- Przemysław Mastalerz: Chemia Organiczna. Wrocław: Wydawnictwo Chemiczne, 2000. ISBN 83-905776-4-X.
Przypisy
- ↑ Heinz Hunsdiecker, Clare Hunsdiecker, Egon Vogt, Method of manufacturing organic chlorine and bromine derivatives, U.S. Patent 2176181, 1939.
- ↑ Heinz Hunsdiecker, Cläre Hunsdiecker. Über den Abbau der Salze aliphatischer Säuren durch Brom. „Chemische Berichte”. 75, s. 291, 1942. DOI: 10.1002/cber.19420750309.
- ↑ Aleksandr Borodin. Ueber Bromvaleriansäure und Brombuttersäure. „Liebigs Annalen”. 119, s. 121, 1861. DOI: 10.1002/jlac.18611190113.
- ↑ Allen, C. F. H., Wilson, C. V.. Methyl 5-bromovalerate. „Organic Syntheses”. 3, s. 578, 1955.
- 1 2 Robert G. Johnson, Robert K. Ingham. The Degradation Of Carboxylic Acid Salts By Means Of Halogen – The Hunsdiecker Reaction. „Chem. Rev.”. 56, s. 219–269, 1956. DOI: 10.1021/cr50008a002.
- ↑ Wilson, C. V. Org. React. 1957, 9, 341. (Review)
- ↑ Meek, J. S., Osuga, D. T.. Bromocyclopropane. „Organic Syntheses”. 5, s. 126, 1973.
- ↑ Lampman, G. M., Aumiller, J. C.. Mercury(II) oxide-modified Hunsdiecker reaction: 1-Bromo-3-chlorocyclobutane. „Organic Syntheses”. 6, s. 179, 1988.
- ↑ Angelo Simonini. Über den Abbau der fetten Säuren zu kohlenstoffärmeren Alkoholen. „Monatshefte für Chemie”. 13, s. 320-325, 1892. DOI: 10.1007/BF01523646.
- ↑ Angelo Simonini. Über den Abbau der fetten Säuren zu kohlenstoffärmeren Alkoholen. „Monatshefte für Chemie”. 14 (1), s. 80-92, 1893. DOI: 10.1007/BF01517859.
