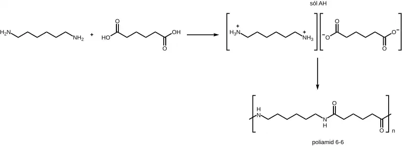
Sól AH
Sól AH (inna nazwa heksasól) – organiczna sól, w której funkcję kationu pełni heksa-1,6-diamina a anionu – kwas adypinowy (1,6-heksadikarboksylowy). Sól ta ma kluczowe znaczenie przy przemysłowym otrzymywaniu jednego z rodzajów nylonu – poliamidu 6-6.
Sól AH została wynaleziona przez W. Carothersa, w ramach badań nad produkcją nylonu.
Jej znaczenie wynika z faktu, że w reakcjach polimeryzacji stopniowej kluczowe znaczenie ma stosowanie dokładnie równomolowej mieszaniny monomerów, gdyż zgodnie z równaniem Carothersa wysokie masy cząsteczkowe polimerów można uzyskać przy bardzo wysokim stopniu przereagowania grup funkcyjnych, wchodzących do reakcji monomerów.
W przypadku dozowania osobno diaminy i kwasu adypinowego byłoby bardzo trudno osiągnąć ściśle równomolową ich mieszaninę w warunkach przemysłowych, na skutek czego niemożliwe byłoby osiągnięcie wysokiego stopnia przereagowania obu tych monomerów. Rozwiązaniem tego problemu, które zaproponował Carothers, było wstępne przereagowanie obu tych monomerów (stechiometryczne), prowadzące do powstania soli, w której z natury rzeczy występuje ściśle równomolowa proporcja obu merów. Sól ta w odpowiednim układzie rozpuszczalników wypada z roztworu w formie białych kryształków, które można łatwo oddzielić przez prostą filtrację i następnie zastosować do polimeryzacji poliamidu 6-6:
