SSS*
SSS* jest zoptymalizowanym algorytmem do gier dwuosobowych (algorytmem typu min-max) autorstwa G. Stockmanna[1]. Algorytm ten jest co najmniej tak dobry jak algorytm alfa-beta, tzn. nigdy nie przegląda wierzchołka ominiętego przez mogąc dodatkowo poczynić dalsze oszczędności[2].
Dana jest kolejka priorytetowa OPEN przechowująca stany gdzie – wierzchołek (używana jest notacja Deweya, oznacza korzeń), – stan rozwiązania dla ( oznacza wierzchołek zamknięty (rozwiązany), a otwarty (nierozwiązany)) oraz – wartość rozwiązania dla OPEN jest posortowana zgodnie z malejącą wartością W przypadku wielu węzłów o tej samej mierze preferowane są wierzchołki położone po lewej stronie drzewa.
OPEN := { (e,L,inf) }
powtarzaj
zdejmij element p=(J,s,h) z wierzchołka OPEN
jeśli J=e i s=S, zakończ działanie algorytmu, zwracając h
w przeciwnym przypadku
zastosuj operator Gamma dla p
Operator dla zdefiniowany jest następująco:
jeżeli s=L
jeżeli J jest wierzchołkiem terminalnym
(1.) dodaj (J,S,min(h,wartość(J))) do OPEN
w p.p. jeżeli J jest wierzchołkiem typu MIN
(2.) dodaj (J.1,L,h) do OPEN
w p.p.
(3.) dla j=1..liczba_potomków(J) dodaj (J.j,L,h) do OPEN
w p.p.
jeżeli J jest wierzchołkiem typu MIN
(4.) dodaj (rodzic(J),S,h) do OPEN
usuń z OPEN wszystkie stany zawierające następników
wierzchołka rodzic(J)
w p.p. jeżeli J=rodzic(J).k i k=liczba_potomków(rodzic(J))
(5.) dodaj (rodzic(J),S,h) do OPEN
w p.p.
(6.) dodaj (rodzic(J).(k+1),L,h) do OPEN
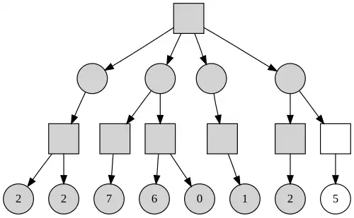
Przykład
Dane jest drzewo gier:

Poniższy wydruk przedstawia działanie algorytmu. Kolumny, w kolejności od lewej do prawej: numer iteracji, przypadek operatora zawartość kolejki OPEN.
1: – e,L,inf 2: 2 1,L,inf 2,L,inf 3,L,inf 4,L,inf 3: 3 1.1,L,inf 2,L,inf 3,L,inf 4,L,inf 4: 2 1.1.1,L,inf 1.1.2,L,inf 2,L,inf 3,L,inf 4,L,inf 5: 1 1.1.2,L,inf 2,L,inf 3,L,inf 4,L,inf 1.1.1,S,2 6: 1 2,L,inf 3,L,inf 4,L,inf 1.1.1,S,2 1.1.2,S,2 7: 3 2.1,L,inf 3,L,inf 4,L,inf 1.1.1,S,2 1.1.2,S,2 8: 2 2.1.1,L,inf 3,L,inf 4,L,inf 1.1.1,S,2 1.1.2,S,2 9: 1 3,L,inf 4,L,inf 2.1.1,S,7 1.1.1,S,2 1.1.2,S,2 10: 3 3.1,L,inf 4,L,inf 2.1.1,S,7 1.1.1,S,2 1.1.2,S,2 11: 2 3.1.1,L,inf 4,L,inf 2.1.1,S,7 1.1.1,S,2 1.1.2,S,2 12: 1 4,L,inf 2.1.1,S,7 1.1.1,S,2 1.1.2,S,2 3.1.1,S,1 13: 3 4.1,L,inf 2.1.1,S,7 1.1.1,S,2 1.1.2,S,2 3.1.1,S,1 14: 2 4.1.1,L,inf 2.1.1,S,7 1.1.1,S,2 1.1.2,S,2 3.1.1,S,1 15: 1 2.1.1,S,7 1.1.1,S,2 1.1.2,S,2 4.1.1,S,2 3.1.1,S,1 16: 4 2.1,S,7 1.1.1,S,2 1.1.2,S,2 4.1.1,S,2 3.1.1,S,1 17: 6 2.2,L,7 1.1.1,S,2 1.1.2,S,2 4.1.1,S,2 3.1.1,S,1 18: 2 2.2.1,L,7 2.2.2,L,7 1.1.1,S,2 1.1.2,S,2 4.1.1,S,2 3.1.1,S,1 19: 1 2.2.2,L,7 2.2.1,S,6 1.1.1,S,2 1.1.2,S,2 4.1.1,S,2 3.1.1,S,1 20: 1 2.2.1,S,6 1.1.1,S,2 1.1.2,S,2 4.1.1,S,2 3.1.1,S,1 2.2.2,S,0 21: 4 2.2,S,6 1.1.1,S,2 1.1.2,S,2 4.1.1,S,2 3.1.1,S,1 22: 5 2,S,6 1.1.1,S,2 1.1.2,S,2 4.1.1,S,2 3.1.1,S,1 23: 4 e,S,6
Algorytm zakończył działanie po 23 krokach. Nie zostały odwiedzone dwa wierzchołki --- 4.2 i 4.2.1, które to zostały oznaczone kolorem białym na powyższej rycinie.