Soman
|
|
| Nazewnictwo |
|
| Nomenklatura systematyczna (IUPAC) |
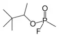
3-[fluoro(metylo)fosforylo]oksy-2,2-dimetylobutan |
| Inne nazwy i oznaczenia |
| symbol NATO: GD |
|
| Ogólne informacje |
| Wzór sumaryczny |
C7H16FO2P |
| Masa molowa |
182,17 g/mol |
| Wygląd |
bezbarwna ciecz[1] |
| Identyfikacja |
| Numer CAS |
96-64-0 |
| PubChem |
7305 |
|
|
| InChI |
InChI=1S/C7H16FO2P/c1-6(7(2,3)4)10-11(5,8)9/h6H,1-5H3 |
| InChIKey |
GRXKLBBBQUKJJZ-UHFFFAOYSA-N |
|
|
|
|
|
Jeżeli nie podano inaczej, dane dotyczą stanu standardowego (25 °C, 1000 hPa) |
Soman (fluorometylofosfonian O-pinakolu, symbol NATO: GD) – fosforoorganiczny związek chemiczny, silnie toksyczny bojowy środek trujący, z grupy paralityczno-drgawkowych.
Soman jest bezbarwną cieczą o słabym zapachu kamfory, szybko parującą w temperaturze pokojowej. Soman nie rozpuszcza się w wodzie i jest silnie trujący. Do zatrucia somanem dochodzi w wyniku wdychania jego par oraz wnikania par i kropel przez skórę. Dawka śmiertelna dla człowieka wynosi kilka miligramów.
Przypisy
- ↑ Podręczny słownik chemiczny, RomualdR. Hassa (red.), JanuszJ. Mrzigod (red.), JanuszJ. Nowakowski (red.), Katowice: Videograf II, 2004, s. 368, ISBN 83-7183-240-0 .