Tablice trwania życia

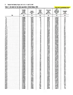
Tablice trwania życia – stosowane w naukach aktuarialnych tabele pokazujące, dla każdej grupy wiekowej, prawdopodobieństwa, że osoba w danym wieku umrze przed następnymi urodzinami[1]. Tablice umożliwiają przedstawienie empirycznej przeżywalności ludzi z określonej populacji i stanowią długoterminowy sposób pomiaru długości życia populacji. Tablice zostały stworzone przez demografów, w tym Johna Graunta, Reeda i Merrella, Keyfitza i Greville'a[2].
W naukach aktuarialnych stosowane są dwa rodzaje tablic trwania życia[3]. Tablice przekrojowe przedstawiają współczynniki umieralności w danym okresie dla określonej populacji. Tablice kohortowe służą do przedstawienia współczynników umieralności w ciągu całego życia określonej populacji urodzonej w tym samym przedziale czasu.
Zobacz też
- Oczekiwana dalsza długość trwania życia
- Prawo umieralności Makehama-Gompertza
- Analiza przeżycia
- Krzywa przeżywalności
Przypisy
- ↑ Główny Urząd Statystyczny / Metainformacje / Słownik pojęć / Pojęcia stosowane w statystyce publicznej [online], stat.gov.pl [dostęp 2024-07-03].
- ↑ Subrata Lahiri, Survival Probabilities From 5-Year Cumulative Life Table Survival Ratios (T+5/T): Some Innovative Methodological Investigations☆, Elsevier, 2018, s. 481–542, DOI: 10.1016/bs.host.2018.07.011.
- ↑ Barbara Więckowska, Wpływ kohortowych tablic trwania życia na wysokość świadczeń emerytalnych [online], 2010 (pol.).