Tioacetamid
| |||||||||||||||||||||||||||||||||||||
![]() | |||||||||||||||||||||||||||||||||||||
| |||||||||||||||||||||||||||||||||||||
| Ogólne informacje | |||||||||||||||||||||||||||||||||||||
| Wzór sumaryczny |
C2H5NS | ||||||||||||||||||||||||||||||||||||
|---|---|---|---|---|---|---|---|---|---|---|---|---|---|---|---|---|---|---|---|---|---|---|---|---|---|---|---|---|---|---|---|---|---|---|---|---|---|
| Inne wzory |
CH | ||||||||||||||||||||||||||||||||||||
| Masa molowa |
75,13 g/mol | ||||||||||||||||||||||||||||||||||||
| Wygląd | |||||||||||||||||||||||||||||||||||||
| Identyfikacja | |||||||||||||||||||||||||||||||||||||
| Numer CAS | |||||||||||||||||||||||||||||||||||||
| PubChem | |||||||||||||||||||||||||||||||||||||
| |||||||||||||||||||||||||||||||||||||
| |||||||||||||||||||||||||||||||||||||
| |||||||||||||||||||||||||||||||||||||
| |||||||||||||||||||||||||||||||||||||
| |||||||||||||||||||||||||||||||||||||
| Podobne związki | |||||||||||||||||||||||||||||||||||||
| Podobne związki | |||||||||||||||||||||||||||||||||||||
| Jeżeli nie podano inaczej, dane dotyczą stanu standardowego (25 °C, 1000 hPa) | |||||||||||||||||||||||||||||||||||||
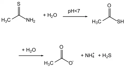
Tioacetamid (AKT) – organiczny związek chemiczny, amid kwasu tiooctowego. Dobrze rozpuszcza się w wodzie i rozpuszczalnikach organicznych. Ogrzanie lub zakwaszenie roztworu powoduje przejście w formę tioimidową i hydrolizę tioacetamidu:
Powstający acetamid ulega dalszej hydrolizie do octanu amonu. Alternatywna ścieżka reakcji biegnie przez przejściowy kwas tiooctowy:
Po dodaniu tioacetamidu do roztworu (o dowolnym odczynie) zawierającym kationy strącające trudno rozpuszczalne w danym środowisku siarczki, powoduje wydzielanie się osadów, które podczas ogrzewania przechodzą w siarczki. Dzięki takiemu zachowaniu tioacetamid znajduje zastosowanie w chemii analitycznej do wykrywania kationów II i III grupy, gdyż jest wygodniejszy i bezpieczniejszy w użyciu od siarkowodoru czy rozpuszczalnych siarczków.
Tioacetamid jest toksyczny (LD50 (szczur, doustnie) wynosi 301 mg/kg), ma również działanie rakotwórcze[4] (grupa 2B według klasyfikacji IARC), jednak ilość siarkowodoru powstająca podczas zwykłej analizy chemicznej jest znikoma.
Przypisy
- 1 2 3 4 Farmakopea Polska X, Polskie Towarzystwo Farmaceutyczne, Warszawa: Urząd Rejestracji Produktów Leczniczych, Wyrobów Medycznych i Produktów Biobójczych, 2014, s. 4276, ISBN 978-83-63724-47-4.
- 1 2 Podręczny słownik chemiczny, Romuald Hassa (red.), Janusz Mrzigod (red.), Janusz Nowakowski (red.), Katowice: Videograf II, 2004, s. 18, ISBN 83-7183-240-0.
- 1 2 Tioacetamid, [w:] Classification and Labelling Inventory, Europejska Agencja Chemikaliów [dostęp 2015-04-10] (ang.).
- ↑ RG Kleinfeld. Early changes in rat liver and kidney cells induced by thioacetamide. „Cancer Res”. 17 (10), s. 954–962, 1957. PMID: 13489694.
.png)



