Trimery
Trimery – jedne z najprostszych oligomerów. Składają się z trzech merów (elementów łańcucha). Są efektem połączenia (np. kondensacji) trzech cząsteczek monomeru.
Trimery można otrzymać w wyniku reakcji dwóch związków, z których jeden posiada tylko jedną grupę funkcyjną zdolną do polimeryzacji, a drugi dwie. Stosując dwukrotny nadmiar związku jednofunkcyjnego w stosunku do dwufunkcyjnego otrzymuje się w przeważającej ilości odpowiedni trimer. Np: kondensacja trimetylosilanolu:
- Me3SiOH + (HO)2SiMe2 → Me3Si-O-Si(Me2)-O-SiMe3 – trimer
Stosując związki posiadające po dwie grupy funkcyjne zdolne do polimeryzacji, zazwyczaj bardzo trudno jest zatrzymać reakcję na etapie trimeru i w rezultacie otrzymuje się mieszaninę oligomerów lub, przy sprzyjających warunkach, polimer o wysokiej masie cząsteczkowej:
- Me2Si(OH)2 + (HO)2SiMe2 → Me2(OH)Si-O-Si(OH)Me2 – dimer
- Me2(OH)Si-O-Si(OH)Me2 + (HO)2SiMe2 → Me2(OH)Si-O-SiMe2-O-Si(OH)Me2 – trimer
- Me2(OH)Si-O-SiMe2-O-Si(OH)Me2 + (HO)2SiMe2 → Me2(OH)Si-O-SiMe2-O-SiMe2-O-Si(OH)Me2 – tetramer
- itd, aż do Me2(OH)Si-O-[SiMe2-O-]nSi(OH)Me2 (n>100) – polimer
Niektóre związki organiczne, w określonych warunkach są zdolne do spontanicznej trimeryzacji. Np: benzen można uznać za cykliczny trimer acetylenu:

W reakcji tej jedno wiązanie π w cząsteczce acetylenu pęka, a następnie zachodzi proces łączenia się merów. Warto też zauważyć, że przy innej temperaturze i stężeniu acetylen jest zdolny do polimeryzacji tworząc poliacetylen – polimer o bardzo dobrym przewodnictwie elektrycznym.
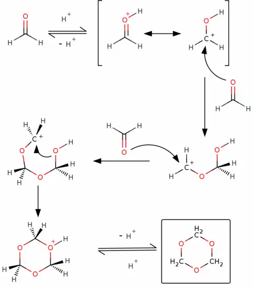
Innym przykładem spontanicznej trimeryzacji jest reakcja, w wyniku której formaldehyd ulega cyklizacji do 1,3,5-trioksanu:
