Pentamethoxyamphetamine

Pentamethoxyamphetamine
Clinical data
Other namesPeMA; 2,3,4,5,6-Pentamethoxyamphetamine; 2,3,4,5,6-PeMA
ATC code
  • None
Identifiers
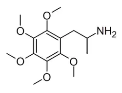
  • 1-(2,3,4,5,6-pentamethoxyphenyl)propan-2-amine
CAS Number
PubChem CID
Chemical and physical data
FormulaC14H23NO5
Molar mass285.340 g·mol−1
3D model (JSmol)
  • CC(CC1=C(C(=C(C(=C1OC)OC)OC)OC)OC)N
  • InChI=1S/C14H23NO5/c1-8(15)7-9-10(16-2)12(18-4)14(20-6)13(19-5)11(9)17-3/h8H,7,15H2,1-6H3
  • Key:CDUJLDXLXICILS-UHFFFAOYSA-N

Pentamethoxyamphetamine (PeMA), also known as 2,3,4,5,6-pentamethoxyamphetamine (2,3,4,5,6-PeMA), is a chemical compound of the phenethylamine and amphetamine families related to the psychedelic drug mescaline (3,4,5-trimethoxyphenethylamine).[1][2] It is the α-methyl or amphetamine derivative of pentamethoxyphenethylamine (PeMPEA).[1][2] The compound does not seem to have been tested in animals or humans.[1][2] However, the related drug PeMPEA is known to be behaviorally active in animal studies.[1][3] PeMA was first described in the scientific literature by Alexander Shulgin by 1969.[2]

See also

References

  1. ^ a b c d Shulgin A, Manning T, Daley PF (2011). "#108. PeMPEA". The Shulgin Index, Volume One: Psychedelic Phenethylamines and Related Compounds. Vol. 1. Berkeley, CA: Transform Press. pp. 263–264. ISBN 978-0-9630096-3-0. OCLC 709667010.
  2. ^ a b c d Shulgin AT, Sargent T, Naranjo C (1969). "Structure–Activity Relationships of One-Ring Psychotomimetics". Nature. 221 (5180): 537–541. doi:10.1038/221537a0. ISSN 0028-0836. PMID 5789297.
  3. ^ Brimblecombe RW, Pinder RM (1975). "Phenylalkylamines and Their Derivatives". Hallucinogenic Agents. Bristol: Wright-Scientechnica. pp. 55–97. Table 3.2.—Relative Hallucinogenic Potencies of Some Phenylethylamines [...]