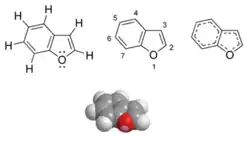
Benzofuran
| |||||||||||||||||||||||||||||||||||||||||||||||
| |||||||||||||||||||||||||||||||||||||||||||||||
| Ogólne informacje | |||||||||||||||||||||||||||||||||||||||||||||||
| Wzór sumaryczny |
C8H6O | ||||||||||||||||||||||||||||||||||||||||||||||
|---|---|---|---|---|---|---|---|---|---|---|---|---|---|---|---|---|---|---|---|---|---|---|---|---|---|---|---|---|---|---|---|---|---|---|---|---|---|---|---|---|---|---|---|---|---|---|---|
| Masa molowa |
118,13 g/mol | ||||||||||||||||||||||||||||||||||||||||||||||
| Wygląd |
żółta, przezroczysta ciecz[1] | ||||||||||||||||||||||||||||||||||||||||||||||
| Identyfikacja | |||||||||||||||||||||||||||||||||||||||||||||||
| Numer CAS | |||||||||||||||||||||||||||||||||||||||||||||||
| PubChem | |||||||||||||||||||||||||||||||||||||||||||||||
| DrugBank | |||||||||||||||||||||||||||||||||||||||||||||||
| |||||||||||||||||||||||||||||||||||||||||||||||
| |||||||||||||||||||||||||||||||||||||||||||||||
| |||||||||||||||||||||||||||||||||||||||||||||||
| |||||||||||||||||||||||||||||||||||||||||||||||
| Podobne związki | |||||||||||||||||||||||||||||||||||||||||||||||
| Podobne związki | |||||||||||||||||||||||||||||||||||||||||||||||
| Jeżeli nie podano inaczej, dane dotyczą stanu standardowego (25 °C, 1000 hPa) | |||||||||||||||||||||||||||||||||||||||||||||||
Benzofuran (kumaron) – heterocykliczny organiczny związek chemiczny zbudowany ze skondensowanych pierścieni benzenu i furanu. Jest to bezbarwna, oleista ciecz używana do produkcji żywic kumaronowych. Występuje w olejach lekkich otrzymywanych w procesie destylacji smoły węglowej.
Przypisy
- 1 2 3 4 2,3-Benzofuran (nr B8002) – karta charakterystyki produktu Sigma-Aldrich (Merck) na obszar Polski.
- 1 2 Benzofuran, [w:] ChemIDplus [online], United States National Library of Medicine [dostęp 2012-03-09] (ang.).
