Bromooctan etylu
| ||||||||||||||||||||||||||||||||||||||||||||||||||||
| ||||||||||||||||||||||||||||||||||||||||||||||||||||
| Ogólne informacje | ||||||||||||||||||||||||||||||||||||||||||||||||||||
| Wzór sumaryczny |
C4H7BrO2 | |||||||||||||||||||||||||||||||||||||||||||||||||||
|---|---|---|---|---|---|---|---|---|---|---|---|---|---|---|---|---|---|---|---|---|---|---|---|---|---|---|---|---|---|---|---|---|---|---|---|---|---|---|---|---|---|---|---|---|---|---|---|---|---|---|---|---|
| Masa molowa |
167,00 g/mol | |||||||||||||||||||||||||||||||||||||||||||||||||||
| Wygląd |
bezbarwna ciecz o nieprzyjemnym zapachu[1] | |||||||||||||||||||||||||||||||||||||||||||||||||||
| Identyfikacja | ||||||||||||||||||||||||||||||||||||||||||||||||||||
| Numer CAS | ||||||||||||||||||||||||||||||||||||||||||||||||||||
| PubChem | ||||||||||||||||||||||||||||||||||||||||||||||||||||
| ||||||||||||||||||||||||||||||||||||||||||||||||||||
| ||||||||||||||||||||||||||||||||||||||||||||||||||||
| ||||||||||||||||||||||||||||||||||||||||||||||||||||
| ||||||||||||||||||||||||||||||||||||||||||||||||||||
| Podobne związki | ||||||||||||||||||||||||||||||||||||||||||||||||||||
| Podobne związki |
chlorooctan etylu, jodooctan etylu, fluorooctan etylu, octan etylu | |||||||||||||||||||||||||||||||||||||||||||||||||||
| Jeżeli nie podano inaczej, dane dotyczą stanu standardowego (25 °C, 1000 hPa) | ||||||||||||||||||||||||||||||||||||||||||||||||||||
Bromooctan etylu, EBA – organiczny związek chemiczny, ester etylowy kwasu bromooctowego. Bezbarwna ciecz o nieprzyjemnym zapachu i lotności 21 000 mg/m³. Stosowany jako bojowy środek trujący z grupy lakrymatorów w czasie I wojny światowej. Na niemieckiej amunicji chemicznej oznaczany był, podobnie jak i inne lakrymatory, białym krzyżem.
Otrzymywanie
Bromooctan etylu otrzymuje się poprzez estryfikację kwasu bromooctowego etanolem w obecności kwasu siarkowego jako katalizatora[8].
Może być także otrzymany poprzez bromowanie octanu etylu w wysokiej temperaturze[9] oraz w reakcjach etanolu z bezwodnikiem bromooctowym[10], glikolanu etylu z tribromkiem fosforu[11] i bromowodoru z diazooctanem etylu[12].
Zastosowanie
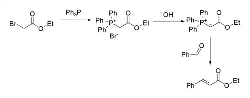
Bromooctan etylu, oprócz wykorzystania bojowego, stosowany jest także w reakcji Wittiga[1]:
Może być stosowany do otrzymywania innego lakrymatora – jodooctanu etylu (SK) – poprzez reakcję alkoholowego roztworu bromooctanu etylu ze sproszkowanym jodkiem potasu[13].
Zagrożenia
Bromooctan etylu jest drażniący dla błon śluzowych, skóry i w szczególności dla oczu, mogąc powodować uszkodzenia rogówki i głębszych warstw oka, które jednak na ogół są odwracalne. Kontakt oka z cieczą może powodować nieodwracalne zmętnienie i bliznowacenie rogówki[14]. Działa drażniąco i łzawiąco od stężenia 10 mg/m³[5]. Jest bardziej toksyczny niż chlor[15]. Ze względu na silne działanie, przebywanie w atmosferze skażonej (8 ppm) przez ponad minutę jest niemożliwe do wytrzymania[14].
Historia
Bromooctan etylu został otrzymany po raz pierwszy przez Williama Henry’ego Perkina i Baldwina Francisa Duppę w 1858 roku w reakcji kwasu bromooctowego z etanolem[16]. Był on najprawdopodobniej pierwszym środkiem do tłumienia rozruchów (RCA)[17] – używany już w 1912 roku przez francuską policję do obezwładniania przestępców i tłumienia zamieszek[15][18][19] (pierwszym takim przypadkiem miało być użycie bromooctanu etylu wraz z olejkiem gorczycznym przeciwko „opryszkom Bonneta” w lesie pod Choisy-le-Roi w 1912 roku[20]).
Był pierwszym bojowym środkiem trującym użytym w czasie I wojny światowej[15][21] (według niektórych źródeł pierwszym był bromek ksylilu użyty w sierpniu 1914 roku w Belgii i północno-wschodniej Francji[22], jednak bardziej prawdopodobne jest, że był to także, przebadany już wcześniej przez Francję, bromooctan etylu[23]). Pomimo postanowień konwencji haskiej z 1907 roku zabraniających użycia środków trujących w wojnie, 24 sierpnia 1914 roku w pobliżu Miluzy w Alzacji Francuzi użyli 26-milimetrowych granatników z pociskami z tym środkiem przeciwko Niemcom[22]. Tego samego sprzętu użyli także w listopadzie 1914 roku[15]. W marcu 1915 roku w pobliżu drogi Chemin-des-Dames pomiędzy rzekami Aisne i Ailette w północnej Francji, wojska francuskie użyły bromooctanu etylu w pociskach artyleryjskich kal. 75 mm. Ataki te były później wykorzystywane przez Niemcy do usprawiedliwiania własnych ataków z użyciem broni chemicznej[22]. Przypuszczalnie użyty był także w latach 70. do rozpraszania zamieszek[17].
Przypisy
- 1 2 3 4 5 6 Ethyl bromoacetate, [w:] GESTIS-Stoffdatenbank [online], Institut für Arbeitsschutz der Deutschen Gesetzlichen Unfallversicherung, ZVG: 24490 [dostęp 2011-04-04] (niem. • ang.).
- 1 2 3 4 5 CRC Handbook of Chemistry and Physics, William M. Haynes (red.), wyd. 95, Boca Raton: CRC Press, 2014, s. 3-252, ISBN 978-1-4822-0867-2 (ang.).
- 1 2 3 4 Irritating and Lachrymatory Agents C13-A, [w:] D. Hank Ellison, Handbook of Chemical and Biological Warfare Agents, wyd. 2, Boca Raton: CRC Press, 2008, s. 422–423, ISBN 978-0-8493-1434-6 (ang.).
- 1 2 3 4 Bromooctan etylu (nr 133973) w katalogu produktów Sigma-Aldrich (Merck). [dostęp 2011-04-04].
- 1 2 3 Philippa Edwards, Robert L. Maynard, An A–Z of Compounds of Interest in Relation to Chemical Warfare and Other Malevolent Uses of Poisons, [w:] Chemical Warfare Agents. Toxicology and Treatment, Timothy C. Marrs (red.), Robert L. Maynard (red.), Frederick R. Sidell (red.), wyd. 2, John Wiley & Sons, 2007, s. 681, ISBN 978-0-470-01359-5 (ang.).
- 1 2 Bromooctan etylu, [w:] Classification and Labelling Inventory, Europejska Agencja Chemikaliów [dostęp 2015-12-08] (ang.).
- ↑ Ethyl bromoacetate, [w:] CAMEO Chemicals [online] [dostęp 2011-04-05] (ang.).
- ↑ Samuel Natelson, Sidney Gottfried, Ethyl bromoacetate, „Organic Syntheses”, 23, 1943, s. 37, DOI: 10.15227/orgsyn.023.0037 (ang.).
- ↑ M.J.M. Crafts, Action du brome et de l’acide bromhydrique sur l’acétate d’éthyle, „Comptes rendus”, 56, 1863, s. 707–709 (fr.).
- ↑ M.H. Gal, Recherches sur les dérivés bromés de l’acide acétique anhydre, „Comptes rendus”, 71, 1870, s. 272–274 (fr.).
- ↑ L. Henry, Ueber die Einwirkung des Phosphorchlorids und des Phosphorbromids auf verschiedene Aether, „Liebigs Annalen”, 156 (2), 1870, s. 174–181, DOI: 10.1002/jlac.18701560209 (niem.).
- ↑ Theodor Curtius, Ueber Diazoessigsäure und ihre Derivate, „Journal für Praktische Chemie”, 38 (1), 1888, s. 396–440, DOI: 10.1002/prac.18880380130 (niem.).
- ↑ Sidney A. Katz, Harry Salem, Synthesis and Chemical Analysis of Riot Control Agents, [w:] Riot Control Agents. Issues in toxicology, safety, and health, Eugene J. Olajos (red.), Woodhall Stopford (red.), Boca Raton: CRC Press, 2004, s. 32, ISBN 0-415-29902-0 (ang.).
- 1 2 Ethyl bromoacetate, [w:] PubChem [online], United States National Library of Medicine, CID: 7748 [dostęp 2020-06-25] (ang.).
- 1 2 3 4 Środki nękające używane do tłumienia rozruchów (RCAs), [w:] Eric Croddy, Clarisa Perez-Armendariz, John Hart, Broń chemiczna i biologiczna, Warszawa: Wydawnictwa Naukowo-Techniczne, 2003, s. 156–157, ISBN 83-204-2817-3.
- ↑ W.H. Perkin, B.F. Duppa, Ueber die Einwirkung des Broms auf Essigsäure, „Liebigs Annalen”, 108 (1), 1858, s. 106–113, DOI: 10.1002/jlac.18581080121 (niem.).
- 1 2 Eugene J. Olajos, Woodhall Stopford, Introduction and Historical Perspectives, [w:] Riot Control Agents. Issues in toxicology, safety, and health, Eugene J. Olajos (red.), Woodhall Stopford (red.), Boca Raton: CRC Press, 2004, s. 6, ISBN 0-415-29902-0 (ang.).
- ↑ Historical Precedents?, [w:] Kim Coleman, A History of Chemical Warfare, Palgrave Macmillan, 2005, s. 9–10, ISBN 978-1-4039-3459-8 (ang.).
- ↑ Bryan Ballantyne, Harry Salem, Forensic Aspects of Riot Control Agents, [w:] Riot Control Agents. Issues in toxicology, safety, and health, Eugene J. Olajos (red.), Woodhall Stopford (red.), Boca Raton: CRC Press, 2004, s. 232, ISBN 0-415-29902-0 (ang.).
- ↑ Karol Borczowski, Chemiczne środki bojowe działające na oczy, [w:] Vademecum obrony przeciwlotniczej i przeciwgazowej ludności cywilnej, wyd. 2, Warszawa: Zakład Ubezpieczeń na Wypadek Choroby, 1936, s. 670, OCLC 14748313.
- ↑ Kavita Gulati, Arunabha Ray, Immunotoxicity, [w:] Handbook of Toxicology of Chemical Warfare Agents, Ramesh C. Gupta (red.), Elsevier, 2009, s. 599, ISBN 978-0-12-374484-5 (ang.).
- 1 2 3 Początki – gazy łzawiące i drażniące dymy, [w:] Leszek Konopski, Historia broni chemicznej, Warszawa: Bellona, 2009, s. 28, ISBN 978-83-11-11643-6.
- ↑ Corey J. Hilmas, Jeffery K. Smart, Benjamin A. Hill, History of Chemical Warfare, [w:] Medical Aspects of Chemical Warfare, Shirley D. Tuorinsky (red.), Falls Church–Washington: Office of the Surgeon General, U.S. Army–Borden Institute, Walter Reed Army Medical Center, 2008, s. 12–13, ISBN 978-0-16-081532-4, OCLC 460938576 [zarchiwizowane z adresu 2016-12-01] (ang.).
Przeczytaj ostrzeżenie dotyczące informacji medycznych i pokrewnych zamieszczonych w Wikipedii.


