Dekstran
Dekstran – polimer glukozy o wysokim ciężarze cząsteczkowym rozpuszczalny w wodzie, stosowany w medycynie jako płyn krwiozastępczy, w przemyśle spożywczym dekstran jest stosowany jako zagęstnik i emulgator, a w kosmetyce służy jako składnik pudrów i pomadek. Polimer ten może z powodzeniem zastępować gumy i śluzy roślinne używane, np. do klejenia. Jest też wykorzystywany w drukarstwie tkanin, w przemyśle fotograficznym, jako dodatek do papieru i mas plastycznych oraz surowiec przy wyrobie tabletek i kapsułek. Wytwarzany jest ze śluzu pokrywającego komórki bakterii Leuconostoc mesenteroides[1].
Budowa


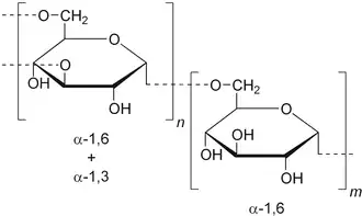
Dekstrany zbudowane są z reszt D-glukopiranozy, tworzących układ rozgałęzionego polimeru. W łańcuchach głównych znajdują się zazwyczaj wiązania α-1,6-glikozydowe, a łańcuchy boczne przyłączone są poprzez wiązania α-1,2-, α-1,3- lub α-1,4-glikozydowe. Grupy boczne to w większości jedna lub dwie reszty glukozy, jednak długość niektórych łańcuchów bocznych dochodzi do 30–50 jednostek cukrowych. Mniej liczne dekstrany, zwane alternanami, zawierają w łańcuchu głównym naprzemiennie wiązania α-1,3- i α-1,6-glikozydowe. Znane są także dekstrany-mutanty, w których reszty glukozy w łańcuchu głównym połączone są wiązaniami α-1,3-glikozydowymi, a łańcuchy boczne przyłączone są przez wiązania α-1,6-glikozydowe[1].
Farmakokinetyka
Dekstran podawany jest we wlewie dożylnym (i.v.). Czas półtrwania wynosi 6–8 h. Wydalanie następuje głównie przez nerki (w mniejszym stopniu biorą w nim udział płuca). Niewydalony dekstran ulega metabolizmowi w wątrobie do dwutlenku węgla i wody. Nie przenika przez barierę krew-mózg.
Mechanizm działania
Do podaniu i.v. podnosi ciśnienie osmotyczne i zwiększa objętość osocza (1 g dekstranu wiąże 20 ml wody). Ponadto zmniejsza lepkość krwi (przeciwdziała to agregacji krwinek). Dekstran nie ma zdolności do wiązania i przenoszenia tlenu, dlatego nie może być stosowany jako substytut pełnej krwi.
Wskazania
- wstrząs hipowolemiczny,
- profilaktyka żylno-zakrzepowa u pacjentów poddanych zabiegom operacyjnym, a obciążonych ryzykiem powikłań zakrzepowo-zatorowych,
- w zaburzeniach mikrokrążenia − jako środek poprawiający właściwości reologiczne krwi,
- w okulistyce – w zespole suchego oka.
Działania niepożądane
- objawy przeciążenia układu krążenia przy zbyt szybkim podaniu,
- wstrząs anafilaktyczny,
- nudności, wymioty.
Interakcje
Płynów infuzyjnych zawierających dekstran nie należy podawać równocześnie z ampicyliną, kwasem askorbinowym, chlorpromazyną, barbituranami i prometazyną, ponieważ mogą tworzyć się połączenia kompleksowe lub lek może ulec wytrąceniu.
Przetaczanie krwi a wiara
Propagowany przez Świadków Jehowy jako alternatywa dla transfuzji krwi[2][3][4].
Przypisy
- 1 2
Małgorzata Pleszczyńska, Dekstran i dekstranazy – źródła mikrobiologiczne, właściwości i zastosowanie, „Biotechnologia”, 47 (4), 1999, s. 45–61 [dostęp 2024-09-26]. - ↑
- Inne rozwiązania, [w:] Jak krew może ocalić twoje życie?, Watch Tower Bible and Tract Society, 1990, s. 13–17.
- ↑ Rosnąca popularność bezkrwawej medycyny, „Przebudźcie się!”, Watch Tower Bible and Tract Society, 8 stycznia 2000, s. 7–11, ISSN 1234-1169.
- ↑ Krew, [w:] Prowadzenie rozmów na podstawie Pism, wyd. 2, Towarzystwo Strażnica, 2001, s. 139-144, ISBN 83-86930-47-0.
Bibliografia
- Indeks leków medycyny praktycznej. Wydanie I. Kraków, 2006 r.
Przeczytaj ostrzeżenie dotyczące informacji medycznych i pokrewnych zamieszczonych w Wikipedii.