Diagram komunikacji

Diagram komunikacji (ang. Communication diagram) znany również jako diagram kolaboracji. Jest to rozszerzona wersja diagramu współdziałania znanego z UML 1.x. Przedstawia sposób wymiany informacji pomiędzy obiektami (aktorami, klasami), które wchodzą ze sobą w interakcję.
Ogólne zastosowanie
Diagram komunikacji jest jednym z diagramów interakcji. Określa związki strukturalne pomiędzy obiektami biorącymi udział w interakcji zgodnie ze scenariuszem przypadków użycia.
Elementy diagramu
- obiekty - aktorzy, moduły, klasy biorące udział w interakcji
- asocjacje - określają strukturę organizacji obiektów, reprezentowane przez linie łączące obiekty
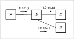
- komunikaty - realizacja interakcji, opisywane etykietowanymi strzałkami
Każda etykieta komunikatu ma postać liczb oddzielonych kropkami połączonych z krótkim opisem komunikatu. Liczby określają kolejność wysyłania komunikatów. Rozdzielenie sterowania oznaczane jest kropką i ponowioną numeracją komunikatów zgodnie z kolejnością w danym bloku sterowania. Pomimo że diagram komunikacji używa etykiet do ustalania kolejności komunikatów, w zdecydowanie mniejszym stopniu niż diagram sekwencji określa aspekty czasu.
Cele stosowania diagramów komunikacji
- określenie komunikatów wymienianych pomiędzy obiektami
- wskazanie relacji pomiędzy obiektami
- ustalenie kolejności wysyłania komunikatów
- ułatwienie zrozumienia interakcji
Tworzenie diagramu
W pierwszym kroku tworzenia diagramu komunikacji należy określić jakie obiekty wejdą w jego skład, a następnie zdefiniować związki pomiędzy nimi. W kolejnym kroku wprowadzane są symbole (opisy wraz ze strzałkami) komunikatów zapisywane równolegle do linii asocjacji, bądź w poziomie. Strzałka powinna wskazywać kierunek przepływu komunikatu. Jako ostatni element na diagram nanoszona jest numeracja kolejności komunikatów. Po zakończeniu tworzenia diagramu każdy komunikat musi mieć numer swojej kolejności, nazwę operacji, oraz strzałkę ustalającą kierunek przepływu. W przypadku dużej ilości komunikatów płynących w tym samym kierunku i pomiędzy tymi samymi obiektami dozwolone jest używanie jednej strzałki z kilkoma etykietami. Dodatkowo można oznaczać opisem, bądź typem strzałki, z jakim rodzajem komunikatu mamy do czynienia
Linki zewnętrzne