Fityna
| |||||||||
| |||||||||
| Ogólne informacje | |||||||||
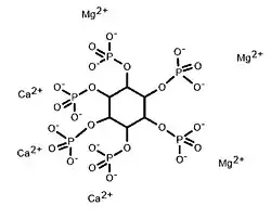
| Wzór sumaryczny |
C6H6Ca3Mg3O24P6 | ||||||||
|---|---|---|---|---|---|---|---|---|---|
| Masa molowa |
841,09 g/mol | ||||||||
| Identyfikacja | |||||||||
| PubChem | |||||||||
| |||||||||
| |||||||||
| |||||||||
Fityna – organiczny związek chemiczny, sól wapniowa-magnezowa kwasu inozytolosześciofosforowego, występującego powszechnie w świecie roślin, szczególnie obficie w nasionach zbóż i roślin oleistych w ziarnach aleuronowych tworzy okrągłe globoidy, dawniej stosowana w lecznictwie.
Fityna jest otrzymywana z odtłuszczonego makuchu konopnego, pobudza proces krwiotwórczy, nasila wzrost i rozwój tkanki kostnej, poprawia czynność układu nerwowego. Fitynę stosuje się w neurastenii, niemocy płciowej, krzywicy, niedokrwistości i gruźlicy, w postaci proszków i tabletek, często w kombinacji z preparatami arsenu i żelaza.
