Furfuramid
| |||||||||||||
| |||||||||||||
| Ogólne informacje | |||||||||||||
| Wzór sumaryczny |
C5H5NO2 | ||||||||||||
|---|---|---|---|---|---|---|---|---|---|---|---|---|---|
| Inne wzory |
C | ||||||||||||
| Masa molowa |
111,10 g/mol | ||||||||||||
| Wygląd |
biały, krystaliczny proszek[1] | ||||||||||||
| Identyfikacja | |||||||||||||
| Numer CAS | |||||||||||||
| PubChem | |||||||||||||
| |||||||||||||
| |||||||||||||
| |||||||||||||
| |||||||||||||
| Podobne związki | |||||||||||||
| Podobne związki |
alkohol furfurylowy, furan, tetrahydrofuran, kwas furanokarboksylowy, furfural | ||||||||||||
| Jeżeli nie podano inaczej, dane dotyczą stanu standardowego (25 °C, 1000 hPa) | |||||||||||||
Furfuramid, furamid – związek chemiczny z grupy amidów. Zawiera pięcioczłonowy pierścień heterocykliczny (pochodna furanu). Możliwe są dwa izomery furamidu, 2-furamid i 3-furamid, z grupą amidową w pozycji 2 lub 3 pierścienia furanowego.
Otrzymywanie
2-Furamid może być otrzymany z furfuralu w reakcji Willgerodta-Kindlera:
- C
4H
3O−CHO + S + 3NH
3 + H
2O → C
4H
3O−CONH
2 + (NH
4)
2S
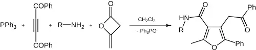
Różne pochodne 3-furamidu można otrzymać w reakcji mieszaniny aminy, diketenu i dibenzoiloacetylenu w obecności trifenylofosfiny[3]:

- Synteza pochodnych 3-furamidu, Ph oznacza grupę fenylową
Przypisy
- 1 2 2-Furamide, karta charakterystyki wydana na obszar Polski, Alfa Aesar (Thermo Fisher Scientific), numer katalogowy B25075 [dostęp 2017-04-23].
- ↑ 2-Furamide, [w:] ChemIDplus [online], United States National Library of Medicine [dostęp 2017-04-23] (ang.).
- ↑ Abdolali Alizadeh, Nasrin Zohreh, Sadegh Rostamnia, One-pot synthesis of functionalized furamide derivatives via a three-component reaction between an amine, diketene and dibenzoylacetylene in the presence of triphenylphosphine, „Tetrahedron”, 63, 2007, s. 8083–8087, DOI: 10.1016/j.tet.2007.06.021.
