Hydroksymetylofurfural
| ||||||||||||||||||||||||||||||||||||||||||||||||||||||
| ||||||||||||||||||||||||||||||||||||||||||||||||||||||
| Ogólne informacje | ||||||||||||||||||||||||||||||||||||||||||||||||||||||
| Wzór sumaryczny |
C6H6O3 | |||||||||||||||||||||||||||||||||||||||||||||||||||||
|---|---|---|---|---|---|---|---|---|---|---|---|---|---|---|---|---|---|---|---|---|---|---|---|---|---|---|---|---|---|---|---|---|---|---|---|---|---|---|---|---|---|---|---|---|---|---|---|---|---|---|---|---|---|---|
| Masa molowa |
126,11 g/mol | |||||||||||||||||||||||||||||||||||||||||||||||||||||
| Wygląd |
igiełkowate kryształy[1] | |||||||||||||||||||||||||||||||||||||||||||||||||||||
| Identyfikacja | ||||||||||||||||||||||||||||||||||||||||||||||||||||||
| Numer CAS | ||||||||||||||||||||||||||||||||||||||||||||||||||||||
| PubChem | ||||||||||||||||||||||||||||||||||||||||||||||||||||||
| DrugBank | ||||||||||||||||||||||||||||||||||||||||||||||||||||||
| ||||||||||||||||||||||||||||||||||||||||||||||||||||||
| ||||||||||||||||||||||||||||||||||||||||||||||||||||||
| ||||||||||||||||||||||||||||||||||||||||||||||||||||||
| ||||||||||||||||||||||||||||||||||||||||||||||||||||||
| Podobne związki | ||||||||||||||||||||||||||||||||||||||||||||||||||||||
| Podobne związki | ||||||||||||||||||||||||||||||||||||||||||||||||||||||
| Jeżeli nie podano inaczej, dane dotyczą stanu standardowego (25 °C, 1000 hPa) | ||||||||||||||||||||||||||||||||||||||||||||||||||||||
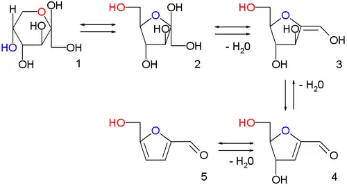
Hydroksymetylofurfural (HMF) – organiczny związek chemiczny z grupy aldehydów i alkoholi o szkielecie furanu, hydroksymetylowa pochodna furfuralu, substancja zapachowa. Można go otrzymać z wysoką wydajnością (także na skalę przemysłową) w wyniku kwasowej hydrolizy fruktozy (lub hydrolizatów inuliny)[5][6] oraz glukozy i hydrolizatów celulozy[7].

Legenda: 1: fruktopiranoza; 2: fruktofuranoza; 3 i 4: produkty częściowej dehydratacji fruktozy; 5: hydroksymetylofurfural (HMF)
Powstaje też jako jeden z produktów reakcji Maillarda[8] oraz jako końcowy produkt rozpadu witaminy C[9].
Wpływ na zdrowie
Wpływ HMF na zdrowie jest niejednoznaczny. Z jednej strony jest on substancją cytotoksyczną, mutagenną i kancerogenną, z drugiej zaś wykazuje wiele pozytywnych właściwości, np. przeciwutleniające, przeciwalergiczne, przeciwzapalne; wpływa korzystnie na anemię sierpowatą i przeciwdziała niedotlenieniu[10].
Występowanie
Jest obecny w produktach spożywczych zawierających cukier i poddanych obróbce cieplnej, m.in. w miodzie, płatkach śniadaniowych, pieczywie, nabiale i sokach owocowych[10]. Jego ilość w miodzie wzrasta podczas przechowywania oraz podgrzewania[10][11]. Podgrzewanie miodu w celu jego dekrystalizacji powinno przeprowadzać się na łaźniach wodnych w celu uniknięcia lokalnego przegrzania[11]. Z podobnego powodu korzystne jest stosowanie do grzania kuchenek mikrofalowych; ponadto energia promieniowania mikrofalowego stosowanego w kuchenkach przekształcana jest głównie w energię termiczną cząsteczek wody, a nie cząsteczek cukrów[10]. Zawartość HMF w miodach jest oznaczana jako wskaźnik ich jakości[11]. Załącznik II dyrektywy Rady 2001/110/WE określa kryteria składu miodu, w tym zawartość HMF, która nie powinna przekraczać poziomu 40 mg/kg (z wyjątkiem miodu piekarniczego) lub 80 mg/kg w miodzie deklarowanym jako pochodzący z regionu tropikalnego[12]. Stężenie HMF w miodzie jest jednym z ważniejszych parametrów laboratoryjnej analizy miodu[13].
Zastosowanie
Jest prekursorem wielu dwufunkcyjnych pochodnych furfuralu, z których można otrzymywać różnego typu poliestry i inne polimery, a także paliwo do silników Diesla[5][6].
Przypisy
- 1 2 3 4 5 Farmakopea Polska X, Polskie Towarzystwo Farmaceutyczne, Warszawa: Urząd Rejestracji Produktów Leczniczych, Wyrobów Medycznych i Produktów Biobójczych, 2014, s. 4276, ISBN 978-83-63724-47-4.
- 1 2 3 4 5-(Hydroksymetylo)furfural (nr W501808) – karta charakterystyki produktu Sigma-Aldrich (Merck) na obszar Polski.
- ↑ 5-Hydroxymethyl-2-furfuraldehyde, [w:] ChemIDplus [online], United States National Library of Medicine [dostęp 2013-01-27] (ang.).
- ↑ Hydroksymetylofurfural (nr W501808) (ang.) – karta charakterystyki produktu Sigma-Aldrich (Merck) na obszar Stanów Zjednoczonych.
- 1 2 Frieder W. Lichtenthaler, Carbohydrates, [w:] Ullmann’s Encyclopedia of Industrial Chemistry, Weinheim: Wiley‐VCH, s. 28–29, DOI: 10.1002/14356007.a05_079 (ang.).
- 1 2 Produkcja plastików z cukru?. Laboratoria.net (za PAP), 2006-07-11. [dostęp 2017-02-05].
- ↑ Birgit Kamm, Patrick R. Gruber, Michael Kamm, Biorefineries – Industrial Processes and Products, [w:] Ullmann’s Encyclopedia of Industrial Chemistry, Weinheim: Wiley‐VCH, s. 17–18, DOI: 10.1002/14356007.l04_l0 (ang.).
- ↑
Anna Michalska, Grzegorz Łysiak. Przydatność do suszenia owoców śliw uprawianych w Polsce w aspekcie przemian związków bioaktywnych i tworzących się produktów reakcji Maillarda. „Żywność. Nauka. Technologia. Jakość”. 6 (97), s. 29–38, 2014. DOI: 10.15193/ZNTJ/2014/97/029-038. - ↑
Anna Michalska, Aneta Wojdyło, Grzegorz Łysiak, Adam Figiel. Chemical Composition and Antioxidant Properties of Powders Obtained from Different Plum Juice Formulations. „International Journal of Molecular Sciences”. DOI: 10.3390/ijms18010176. PMID: 28106740. - 1 2 3 4 Ummay Mahfuza Shapla i inni, 5-Hydroxymethylfurfural (HMF) levels in honey and other food products: effects on bees and human health, „Chemistry Central Journal”, 12 (1), 2018, s. 35, DOI: 10.1186/s13065-018-0408-3, PMID: 29619623, PMCID: PMC5884753 [dostęp 2022-10-11] (ang.).
- 1 2 3 2.7 Storage. W: R. Krell: Value-added products from beekeeping. Rome: FAO. ISBN 92-5-103819-8.
- ↑ Council Directive 2001/110/EC of 20 December 2001 relating to honey [online], EUR-Lex [dostęp 2022-10-10] (ang.).
- ↑ HMF w miodzie – powstawanie i znaczenie [online], Sklep Sajtom [dostęp 2022-10-09].

