Kondensacja Perkina
Kondensacja Perkina (reakcja Perkina) - reakcja kondensacji aldehydu aromatycznego z bezwodnikiem kwasowym w obecności octanu sodu, prowadząca do utworzenia α,β-nienasyconego kwasu karboksylowego (np. kwasu cynamonowego i jego pochodnych).
Reakcja ta została po raz pierwszy opublikowana przez Williama Perkina w 1868 r.[1][2]
Reakcja jest katalizowana solami sodowymi lub potasowymi kwasu karboksylowego odpowiadającego użytemu bezwodnikowi. Reakcja przebiega według mechanizmu kondensacji aldolowej. Bierze w niej udział grupa karbonylowa aldehydu oraz aktywna grupa metylenowa bezwodnika. Rola katalizatora zasadowego (anionu octanowego lub trietyloaminy) polega na wytworzeniu anionu z reagentu z aktywnym wodorem, czyli na oderwaniu protonu od bezwodnika.
![]() |
| Reakcja Perkina na przykładzie syntezy kwasu trans-cynamonowego |
Reakcja Perkina jest opisana w wielu pracach przeglądowych[3][4][5].
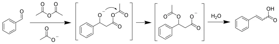
Mechanizm
Anion octanowy (CH3COO–) odrywa proton grupy CH3 cząsteczki bezwodnika octowego (tzw. α-proton) tworząc kwas octowy (CH3COOH) oraz formę enolową tego bezwodnika. Choć równowaga tej reakcji przesunięta jest silnie w przeciwnym kierunku (co nie zostało zaznaczone na poniższym rysunku), gdyż enole są związkami nietrwałymi, to jednak ich tworzenie się jest możliwe. Następnie zachodzi atak nukleofilowy elektronów wiązania п enolu na karbonylowy atom węgla aldehydu. Powstający produkt pośredni ulega wewnątrzcząsteczkowemu przegrupowaniu. Dalszy etap obejmuje reakcję tego produktu pośredniego albo z cząsteczką bezwodnika octowego (zwykle jest go nadmiar) albo z cząsteczką kwasu octowego, która powstała w pierwszym etapie. Nie jest jednoznacznie określone, który z mechanizmów jest bardziej poprawny, dlatego oba są stosowane. Powstający w tym etapie addukt ulega enolizacji i ostatecznie odejściu cząsteczki kwasu octowego. W obu przypadkach produktem końcowym jest α,β-nienasycony kwas karboksylowy[6].
![]() |
| Mechanizm reakcji Perkina |
Przypisy
- ↑ William H. Perkin. On the hydride of aceto-salicyl. „J. Chem. Soc.”. 21, s. 181-186, 1868. DOI: 10.1039/JS8682100181. (ang.).
- ↑ William H. Perkin. On some hydrocarbons obtained from the homologues of cinnamic acid; and on anethol and its homologues. „J. Chem. Soc.”. 31, s. 660-674, 1877. DOI: 10.1039/JS8773200660. (ang.).
- ↑ Johnson, J. R.; Org. React. 1942, 1, 210. (Review)
- ↑ House, H. O. Modern Synthetic Reactions (W. A. Benjamin, Menlo Park, California, 2nd ed, 1972) pp 660-663.
- ↑ Rosen, T.; Comp. Org. Syn. 1991, 2, 395-408. (Review)
- ↑ J. Clayden, N. Greeves, S. Warren, P. Wothers: Organic Chemistry. NY, USA: Oxford University Press, 2007, s. 704-705. ISBN 978-0-19-923657-2.

