Metoda Forda-Fulkersona
Metoda Forda-Fulkersona jest stosowana do znajdowania maksymalnego przepływu w sieci przepływowej. Stanowi podstawę wielu algorytmów, między innymi algorytmu Edmondsa-Karpa czy algorytmu Dynica
Zasadę jej działania można streścić w następujący sposób: Należy zwiększać przepływ wzdłuż dowolnej ścieżki ze źródła do ujścia, dopóki jest to możliwe.
Pojęcia
Dla dowolnej sieci przepływowej o źródle i ujściu w której dowolna krawędź należąca do zbioru ma przepustowość oraz przepływ definiuje się następujące pojęcia:
Sieć rezydualna
Siecią rezydualną dla sieci przepływowej nazywamy sieć gdzie jest zdefiniowane następująco:
gdzie oznacza tzw. przepustowość rezydualną dla krawędzi Ta natomiast jest dana wzorem:
Krawędzie należące do nazywa się krawędziami rezydualnymi.
Bardziej intuicyjnie, przepustowość rezydualna dla pewnej krawędzi oznacza, o ile można zwiększyć przepływ przez nią, tak jednak, aby nie przekroczył on jej przepustowości. Do sieci rezydualnej natomiast należą te krawędzie, przez które przepływ można zwiększyć.
Należy zwrócić uwagę, że może zachodzić
Ma to miejsce w przypadku, gdy W szczególności, do mogą należeć krawędzie nienależące do
Ścieżka powiększająca
Ścieżką powiększającą dla sieci nazywamy dowolną ścieżkę z do w sieci rezydualnej dla Przepustowość rezydualną dowolnej ścieżki powiększającej dla sieci określamy wzorem:
Jest to wartość, o jaką maksymalnie można zwiększyć przepływ przez wszystkie krawędzie należące do ścieżki
Algorytm
Poniżej przedstawiono zapis metody Forda-Fulkersona w pseudokodzie:
while istnieje pewna ścieżka powiększająca do for each do
Złożoność czasowa
Złożoność czasowa metody Forda-Fulkersona silnie zależy od sposobu wyszukiwania ścieżki powiększającej Można jednak znaleźć jej górne ograniczenie. Zauważmy, że za każdym razem, gdy taka ścieżka zostanie znaleziona, przepływ ze źródła do ujścia zostanie zwiększony co najmniej o 1. Niech oznacza maksymalny przepływ w sieci Wtedy pętla while zostanie wykonana w co najwyżej iteracjach. Ponieważ na ścieżce może leżeć co najwyżej krawędzi, dla każdej takiej ścieżki pętla for each zostanie zakończona po nie więcej, niż przebiegach. Ponieważ również wyszukiwanie ścieżki powiększającej można zrealizować w czasie złożoność czasowa metody Forda-Fulkersona, to
W rzeczywistości, jedna z popularniejszych implementacji tej metody, algorytm Edmondsa-Karpa ma złożoność
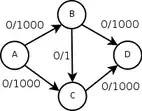
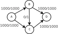
Przykład
Poniższy przykład przedstawia początkowe kroki metody Forda-Fulkersona w sieci z 4 wierzchołkami, źródłem A oraz ujściem D. Ścieżki powiększające są wyszukiwane za pomocą przeszukiwania w głąb, w którym sąsiadujące wierzchołki są odwiedzane w kolejności alfabetycznej. Jest to najgorszy możliwy przypadek, gdyż w każdej iteracji pętli głównej procedury przepływ jest powiększany tylko o 1.
| Ścieżka | Przepustowość | Otrzymany przepływ |
|---|---|---|
| Sytuacja początkowa | ![]() | |
|
|
![]() | |
|
|
![]() | |
| Sytuacja końcowa | ![]() |
Warto zwrócić uwagę, w jaki sposób przepływ „wraca” z wierzchołka C do B po wykorzystaniu ścieżki A,C,B,D.
Bibliografia
- Thomas H. Cormen, Charles E. Leiserson, Ronald L. Rivest, Clifford Stein, Wprowadzenie do algorytmów, WNT 2004, ISBN 83-204-2879-3.



