Metryka probabilistyczna (ang. Lukaszyk-Karmowski metric ) funkcja definiująca odległość pomiędzy zmiennymi bądź wektorami losowymi [ 1] [ 2] . Funkcja ta nie jest, jak sugeruje nazwa, metryką , gdyż nie spełnia jej pierwszego aksjomatu, jakim jest identyczność przedmiotów nierozróżnialnych . Należy jednak zauważyć, że funkcja ta jest metryką w przestrzeni probabilistycznej , co więcej, jest to metryka wyznaczona przez normę tej przestrzeni.
Metryka probabilistyczna nie jest średnią różnicą bezwzględną dwóch zmiennych losowych, która jest zdefiniowana jedynie dla niezależnych zmiennych losowych o jednakowych rozkładach , co w przypadku jednej zmiennej implikuje niezależność tej zmiennej od samej siebie. To z kolei implikuje idempotentność jej rozkładu prawdopodobieństwa, czyniąc ją zmienną zdegenerowaną[ 3] .
Zmienne losowe
Metryka probabilistyczna
D
{\displaystyle D}
pomiędzy dwiema zmiennymi losowymi
X
{\displaystyle X}
i
Y
{\displaystyle Y}
o ciągłych rozkładach gęstości prawdopodobieństwa jest zdefiniowana jako:
D
(
X
,
Y
)
=
∫
−
∞
∞
∫
−
∞
∞
|
x
−
y
|
F
(
x
,
y
)
d
x
d
y
,
{\displaystyle D(X,Y)=\int \limits _{-\infty }^{\infty }\int \limits _{-\infty }^{\infty }|x-y|F(x,y)\,dx\,dy,}
gdzie
F
(
x
,
y
)
{\displaystyle F(x,y)}
oznacza łączną gęstość prawdopodobieństwa zmiennych losowych
X
{\displaystyle X}
i
Y
.
{\displaystyle Y.}
Jeżeli
X
{\displaystyle X}
i
Y
{\displaystyle Y}
są niezależne , to:
D
(
X
,
Y
)
=
∫
−
∞
∞
∫
−
∞
∞
|
x
−
y
|
f
(
x
)
g
(
y
)
d
x
d
y
,
{\displaystyle D(X,Y)=\int \limits _{-\infty }^{\infty }\int \limits _{-\infty }^{\infty }|x-y|f(x)g(y)\,dx\,dy,}
gdzie
f
{\displaystyle f}
i
g
{\displaystyle g}
oznaczają odpowiednie funkcje gęstości prawdopodobieństwa zmiennych
X
{\displaystyle X}
i
Y
.
{\displaystyle Y.}
W przypadku dyskretnych zmiennych losowych metryka probabilistyczna przyjmuje postać:
D
(
X
,
Y
)
=
∑
i
∑
j
|
x
i
−
y
j
|
P
(
X
=
x
i
)
P
(
Y
=
y
j
)
.
{\displaystyle D(X,Y)=\sum _{i}\sum _{j}|x_{i}-y_{j}|P(X=x_{i})P(Y=y_{j}).}
Można wykazać, że taka metryka probabilistyczna nie spełnia pierwszego warunku metryki , lub też spełnia go wtedy i tylko wtedy, jeżeli oba jej argumenty to zmienne zdegenerowane opisywane funkcją gęstości prawdopodobieństwa typu delty Diraca . W takim przypadku:
D
δ
δ
(
X
,
Y
)
=
∫
−
∞
∞
∫
−
∞
∞
|
x
−
y
|
δ
(
x
−
μ
x
)
δ
(
y
−
μ
y
)
d
x
d
y
=
|
μ
x
−
μ
y
|
{\displaystyle D_{\delta \delta }(X,Y)=\int \limits _{-\infty }^{\infty }\int \limits _{-\infty }^{\infty }|x-y|\delta (x-\mu _{x})\delta (y-\mu _{y})\,dx\,dy=|\mu _{x}-\mu _{y}|}
metryka probabilistyczna zwyczajnie staje się metryką pomiędzy wartościami średnimi
μ
x
,
{\displaystyle \mu _{x},}
μ
y
{\displaystyle \mu _{y}}
zmiennych
X
{\displaystyle X}
i
Y
{\displaystyle Y}
i:
D
δ
δ
(
X
,
X
)
=
∫
−
∞
∞
∫
−
∞
∞
|
x
−
x
′
|
δ
(
x
−
μ
x
)
δ
(
x
′
−
μ
x
)
d
x
d
x
′
=
|
μ
x
−
μ
x
|
=
0.
{\displaystyle D_{\delta \delta }(X,X)=\int \limits _{-\infty }^{\infty }\int \limits _{-\infty }^{\infty }|x-x'|\delta (x-\mu _{x})\delta (x'-\mu _{x})\,dx\,dx'=|\mu _{x}-\mu _{x}|=0.}
We wszystkich pozostałych przypadkach:
D
(
X
,
X
)
>
0.
{\displaystyle D\left(X,X\right)>0.}
MP spełnia pozostałe aksjomaty metryki : jest symetryczna bezpośrednio z definicji i spełnia nierówność trójkąta :
D
(
X
,
Z
)
=
∫
−
∞
∞
∫
−
∞
∞
|
x
−
z
|
f
(
x
)
h
(
z
)
d
x
d
z
=
∫
−
∞
∞
∫
−
∞
∞
|
x
−
z
|
f
(
x
)
h
(
z
)
d
x
d
z
∫
−
∞
∞
g
(
y
)
d
y
=
∫
−
∞
∞
∫
−
∞
∞
∫
−
∞
∞
|
(
x
−
y
)
+
(
y
−
z
)
|
f
(
x
)
g
(
y
)
h
(
z
)
d
x
d
y
d
z
⩽
∫
−
∞
∞
∫
−
∞
∞
∫
−
∞
∞
(
|
x
−
y
|
+
|
y
−
z
|
)
f
(
x
)
g
(
y
)
h
(
z
)
d
x
d
y
d
z
=
∫
−
∞
∞
∫
−
∞
∞
∫
−
∞
∞
|
x
−
y
|
f
(
x
)
g
(
y
)
h
(
z
)
d
x
d
y
d
z
+
∫
−
∞
∞
∫
−
∞
∞
∫
−
∞
∞
|
y
−
z
|
f
(
x
)
g
(
y
)
h
(
z
)
d
x
d
y
d
z
=
∫
−
∞
∞
∫
−
∞
∞
|
x
−
y
|
f
(
x
)
g
(
y
)
d
x
d
y
+
∫
−
∞
∞
∫
−
∞
∞
|
y
−
z
|
g
(
y
)
h
(
z
)
d
y
d
z
=
D
(
X
,
Y
)
+
D
(
Y
,
Z
)
{\displaystyle {\begin{aligned}D(X,Z)&=\int _{-\infty }^{\infty }\int _{-\infty }^{\infty }|x-z|f(x)h(z)\,dx\,dz\ =\int _{-\infty }^{\infty }\int _{-\infty }^{\infty }|x-z|f(x)h(z)\,dx\,dz\int _{-\infty }^{\infty }g(y)dy\\&=\int _{-\infty }^{\infty }\int _{-\infty }^{\infty }\int _{-\infty }^{\infty }|(x-y)+(y-z)|f(x)g(y)h(z)\,dx\,dy\,dz\ \\&\leqslant \int _{-\infty }^{\infty }\int _{-\infty }^{\infty }\int _{-\infty }^{\infty }(|x-y|+|y-z|)f(x)g(y)h(z)\,dx\,dy\,dz\\&=\int _{-\infty }^{\infty }\int _{-\infty }^{\infty }\int _{-\infty }^{\infty }|x-y|f(x)g(y)h(z)\,dx\,dy\,dz\ +\int _{-\infty }^{\infty }\int _{-\infty }^{\infty }\int _{-\infty }^{\infty }|y-z|f(x)g(y)h(z)\,dx\,dy\,dz\\&=\int _{-\infty }^{\infty }\int _{-\infty }^{\infty }|x-y|f(x)g(y)\,dx\,dy\ +\int _{-\infty }^{\infty }\int _{-\infty }^{\infty }|y-z|g(y)h(z)\,dy\,dz\\&=D(X,Y)+D(Y,Z)\end{aligned}}}
Zatem:
D
(
X
,
Z
)
⩽
D
(
X
,
Y
)
+
D
(
Y
,
Z
)
{\displaystyle D(X,Z)\leqslant D(X,Y)+D(Y,Z)}
(
∫
−
∞
∞
f
(
x
)
d
x
=
∫
−
∞
∞
g
(
y
)
d
y
=
∫
−
∞
∞
h
(
z
)
d
z
=
1
)
{\displaystyle \left(\int _{-\infty }^{\infty }f(x)dx\ =\int _{-\infty }^{\infty }g(y)dy\ =\int _{-\infty }^{\infty }h(z)dz\ =1\right)}
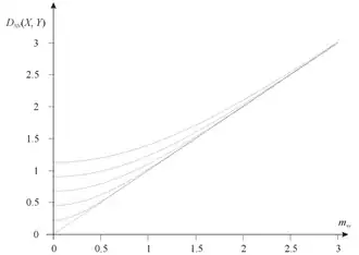
Metryka probabilistyczna pomiędzy dwiema zmiennymi losowymi
X
{\displaystyle X}
i
Y
{\displaystyle Y}
o normalnych rozkładach gęstości prawdopodobieństwa i tym samym odchyleniu standardowym
σ
=
0
;
σ
=
0
,
2
;
σ
=
0
,
4
;
σ
=
0
,
6
;
σ
=
0
,
8
;
σ
=
1
{\displaystyle \sigma =0;\sigma =0{,}2;\sigma =0{,}4;\sigma =0{,}6;\sigma =0{,}8;\sigma =1}
(poczynając od krzywej u dołu).
m
x
y
=
|
μ
x
−
μ
y
|
{\displaystyle m_{xy}=|\mu _{x}-\mu _{y}|}
oznacza odległość pomiędzy wartościami oczekiwanymi zmiennych
X
{\displaystyle X}
i
Y
.
{\displaystyle Y.}
Przykłady
Załóżmy, że mamy zmierzyć odległość pomiędzy punktem
μ
x
{\displaystyle \mu _{x}}
a punktem
μ
y
,
{\displaystyle \mu _{y},}
a punkty te są współliniowe z pewnym punktem
0.
{\displaystyle 0.}
Załóżmy dalej, że pomiary odległości pomiędzy
0
{\displaystyle 0}
a
μ
x
{\displaystyle \mu _{x}}
i pomiędzy
0
{\displaystyle 0}
a
μ
y
{\displaystyle \mu _{y}}
zostały dokonane przez dwie niezależne grupy eksperymentatorów z użyciem taśmy mierniczej.
Przy powyższych założeniach pomiary każdej z grup eksperymentatorów można traktować jako zmienne losowe
X
{\displaystyle X}
i
Y
{\displaystyle Y}
skupione wokół faktycznych położeń punktów odpowiednio
μ
x
{\displaystyle \mu _{x}}
i
μ
y
.
{\displaystyle \mu _{y}.}
Zakładając dalej, że oba rozkłady zmiennych losowych
X
{\displaystyle X}
i
Y
{\displaystyle Y}
są normalne (N), a ich odchylenie standardowe
σ
{\displaystyle \sigma }
jest to samo, całkowanie
D
(
X
,
Y
)
{\displaystyle D\left(X,Y\right)}
prowadzi do:
D
N
N
(
X
,
Y
)
=
μ
x
y
+
2
σ
π
exp
(
−
μ
x
y
2
4
σ
2
)
−
μ
x
y
erfc
(
μ
x
y
2
σ
)
,
{\displaystyle D_{NN}(X,Y)=\mu _{xy}+{\tfrac {2\sigma }{\sqrt {\pi }}}\exp \left(-{\frac {\mu _{xy}^{2}}{4\sigma ^{2}}}\right)-\mu _{xy}\operatorname {erfc} \left({\frac {\mu _{xy}}{2\sigma }}\right),}
gdzie:
μ
x
y
=
|
μ
x
−
μ
y
|
,
{\displaystyle \mu _{xy}=\left|\mu _{x}-\mu _{y}\right|,}
a
erfc
(
x
)
{\displaystyle \operatorname {erfc} (x)}
jest uzupełniająca funkcją błędu .
W tym przypadku „wartość zerowa” metryki
D
N
N
(
X
,
Y
)
{\displaystyle D_{NN}(X,Y)}
wynosi:
lim
μ
x
y
→
0
D
N
N
(
X
,
Y
)
=
D
N
N
(
X
,
X
)
=
2
σ
π
,
{\displaystyle \lim _{\mu _{xy}\to 0}D_{NN}(X,Y)=D_{NN}(X,X)={\frac {2\sigma }{\sqrt {\pi }}},}
co oznacza, że w sensie statystycznym odległość pomiędzy tą samą zmienną losową
X
{\displaystyle X}
jest niezerowa i zależy wyłącznie od typu jej rozkładu i stopnia jego rozproszenia.
Gdy obie zmienne
X
{\displaystyle X}
i
Y
{\displaystyle Y}
określa rozkład jednostajny (R) o tym samym odchyleniu standardowym
σ
,
{\displaystyle \sigma ,}
całkowanie
D
(
X
,
Y
)
{\displaystyle D\left(X,Y\right)}
prowadzi do:
D
R
R
(
X
,
Y
)
=
{
24
3
σ
3
−
μ
x
y
3
+
6
3
σ
μ
x
y
2
36
σ
2
,
μ
x
y
<
2
3
σ
,
μ
x
y
,
μ
x
y
⩾
2
3
σ
.
{\displaystyle D_{RR}(X,Y)={\begin{cases}{\frac {24{\sqrt {3}}\sigma ^{3}-\mu _{xy}^{3}+6{\sqrt {3}}\sigma \mu _{xy}^{2}}{36\sigma ^{2}}},&\mu _{xy}<2{\sqrt {3}}\sigma ,\\\mu _{xy},&\mu _{xy}\geqslant 2{\sqrt {3}}\sigma .\end{cases}}}
Minimalna wartość metryki probabilistycznej tego typu wynosi:
D
R
R
(
X
,
X
)
=
2
σ
3
.
{\displaystyle D_{RR}(X,X)={\tfrac {2\sigma }{\sqrt {3}}}.}
Dla dwóch dyskretnych zmiennych losowych
X
{\displaystyle X}
i
Y
{\displaystyle Y}
mających rozkład Poissona metryka probabilistyczna przyjmuje postać:
D
P
P
(
X
,
Y
)
=
∑
x
=
0
n
∑
y
=
0
n
|
x
−
y
|
λ
x
x
λ
y
y
e
−
(
λ
x
+
λ
y
)
x
!
y
!
.
{\displaystyle D_{PP}(X,Y)=\sum _{x=0}^{n}\sum _{y=0}^{n}|x-y|{\frac {{\lambda _{x}}^{x}{\lambda _{y}}^{y}e^{-(\lambda _{x}+\lambda _{y})}}{x!y!}}.}
Wektory losowe
powierzchnia równej odległości dla metryki euklidesowej
d
2
(
x
,
0
)
,
(
x
,
0
)
∈
R
2
{\displaystyle d^{2}(\mathbf {x} ,\mathbf {0} ),\left(\mathbf {x,0} \right)\in \mathbb {R} ^{2}}
powierzchnia równej odległości dla euklidesowej metryki probabilistycznej
D
R
δ
2
(
X
,
0
)
,
(
X
,
0
)
:
Ω
→
R
2
{\displaystyle D_{R\delta }^{2}(\mathbf {X} ,\mathbf {0} ),\left(\mathbf {X,0} \right)\colon \Omega \to \mathbb {R} ^{2}}
Metrykę probabilistyczną zmiennych losowych można rozszerzyć na metrykę
D
(
X
,
Y
)
{\displaystyle D(\mathbf {X} ,\mathbf {Y} )}
wektorów losowych
X
,
Y
,
{\displaystyle \mathbf {X} ,\mathbf {Y} ,}
podstawiając w miejsce
|
x
−
y
|
{\displaystyle |x-y|}
dowolny operator metryki
d
(
x
,
y
)
:
{\displaystyle d(\mathbf {x} ,\mathbf {y} ){:}}
D
(
X
,
Y
)
=
∫
Ω
∫
Ω
d
(
x
,
y
)
F
(
x
,
y
)
d
Ω
x
d
Ω
y
,
{\displaystyle D(\mathbf {X} ,\mathbf {Y} )=\int \limits _{\Omega }\int \limits _{\Omega }d(\mathbf {x} ,\mathbf {y} )F(\mathbf {x} ,\mathbf {y} )\,d\Omega _{x}\,d\Omega _{y},}
gdzie
F
(
X
,
Y
)
{\displaystyle F(\mathbf {X} ,\mathbf {Y} )}
oznacza łączną gęstość prawdopodobieństwa wektorów losowych
X
{\displaystyle \mathbf {X} }
i
Y
.
{\displaystyle \mathbf {Y} .}
Na przykład podstawiając w miejsce
d
(
x
,
y
)
{\displaystyle d(\mathbf {x} ,\mathbf {y} )}
metrykę euklidesową i przy założeniu, że wektory
X
{\displaystyle \mathbf {X} }
i
Y
{\displaystyle \mathbf {Y} }
są wzajemnie niezależne otrzymamy:
D
(
X
,
Y
)
=
∫
Ω
∫
Ω
∑
i
|
x
i
−
y
i
|
2
F
(
x
)
G
(
y
)
d
Ω
x
d
Ω
y
,
{\displaystyle D(\mathbf {X} ,\mathbf {Y} )=\int \limits _{\Omega }\int \limits _{\Omega }{\sqrt {\sum _{i}|x_{i}-y_{i}|^{2}}}F(\mathbf {x} )G(\mathbf {y} )\,d\Omega _{x}\,d\Omega _{y},}
gdzie
F
(
x
)
{\displaystyle F(\mathbf {x} )}
i
G
(
y
)
{\displaystyle G(\mathbf {y} )}
to wielowymiarowe rozkłady gęstości prawdopodobieństwa wektorów np. wielowymiarowe rozkłady normalne .
Jeżeli wektory
X
{\displaystyle \mathbf {X} }
i
Y
{\displaystyle \mathbf {Y} }
są nie tylko wzajemnie niezależne, ale także poszczególne składowe każdego z nich są statystycznie niezależne, metrykę probabilistyczną wektorów losowych można także zdefiniować jako:
D
∗
∗
(
p
)
(
X
,
Y
)
=
(
∑
i
D
∗
∗
(
X
i
,
Y
i
)
p
)
1
p
,
{\displaystyle D_{**}^{(p)}(\mathbf {X} ,\mathbf {Y} )=\left({\sum _{i}{D_{**}(X_{i},Y_{i})}^{p}}\right)^{\frac {1}{p}},}
gdzie
D
∗
∗
(
X
i
,
Y
i
)
{\displaystyle D_{**}(X_{i},Y_{i})}
jest szczególną formą metryki probabilistycznej zmiennych losowych dobraną w zależności od rozkładów poszczególnych składowych
X
i
,
{\displaystyle X_{i},}
Y
i
{\displaystyle Y_{i}}
wektorów
X
,
Y
.
{\displaystyle \mathbf {X,Y} .}
Interpretacja fizyczna
Metrykę probabilistyczną można traktować jako odległość cząstek w mechanice kwantowej , gdzie każdej cząstce odpowiada zespolona funkcja falowa
ψ
(
x
,
y
,
z
)
{\displaystyle \psi (x,y,z)}
zależna od współrzędnych przestrzennych, a prawdopodobieństwo
d
P
{\displaystyle dP}
tego, że cząstka znajduje się w danym elemencie przestrzeni
d
V
{\displaystyle dV}
wynosi:
d
P
=
|
ψ
(
x
,
y
,
z
)
|
2
d
V
.
{\displaystyle dP=|\psi (x,y,z)|^{2}dV.}
Cząstka w studni potencjału
Rozważmy cząstkę
(
X
)
{\displaystyle (X)}
znajdującą się w jednowymiarowej studni potencjału o szerokości
L
.
{\displaystyle L.}
Jeżeli funkcja falowa tej cząstki ma postać:
ψ
m
(
x
)
=
2
L
sin
(
m
π
x
L
)
,
{\displaystyle \psi _{m}(x)={\sqrt {\frac {2}{L}}}\sin {\left({\frac {m\pi x}{L}}\right)},}
to odległość tej cząstki od dowolnego punktu
ξ
∈
(
0
,
L
)
{\displaystyle \xi \in (0,L)}
studni wynosi:
D
(
X
,
ξ
)
=
∫
0
L
|
x
−
ξ
|
|
ψ
m
(
x
)
|
2
d
x
=
ξ
2
L
−
ξ
+
L
(
1
2
−
sin
2
(
m
π
ξ
L
)
m
2
π
2
)
.
{\displaystyle D(X,\xi )=\int \limits _{0}^{L}|x-\xi |\,|\psi _{m}(x)|^{2}dx={\frac {\xi ^{2}}{L}}-\xi +L\left({\frac {1}{2}}-{\frac {\sin ^{2}\left({\frac {m\pi \xi }{L}}\right)}{m^{2}\pi ^{2}}}\right).}
Z właściwości metryki probabilistycznej wynika, że suma odległości pomiędzy krawędzią studni (
ξ
=
0
{\displaystyle \xi =0}
lub
ξ
=
L
{\displaystyle \xi =L}
) a danym punktem i metryki probabilistycznej pomiędzy danym punktem a cząstką jest różna od metryki probabilistycznej pomiędzy krawędzią studni a cząstką. Na przykład dla cząstki kwantowej na poziomie energetycznym
m
=
2
:
{\displaystyle m=2{:}}
d
(
0
,
0
,
2
L
)
+
D
(
X
,
0
,
2
L
)
≈
0
,
2
L
+
0,317
1
L
=
0,517
L
≠
D
(
X
,
0
)
=
D
(
X
,
L
)
=
0
,
5
L
.
{\displaystyle d(0,\,0{,}2L)+D(X,0{,}2L)\approx 0{,}2L+0{,}3171L=0{,}517L\neq D(X,0)=D(X,L)=0{,}5L.}
Metryka probabilistyczna cząstki kwantowej od krawędzi studni jest przy tym niezależna od energii cząstki i wynosi zawsze
0
,
5
L
.
{\displaystyle 0{,}5L.}
Dwie cząstki w studni potencjału
Wzajemną odległość dwóch cząstek
X
,
{\displaystyle X,}
Y
{\displaystyle Y}
znajdujących się w jednowymiarowej studni potencjału o szerokości
L
,
{\displaystyle L,}
dla których funkcje falowe mają postać:
ψ
m
(
x
)
=
2
L
sin
(
m
π
x
L
)
,
{\displaystyle \psi _{m}(x)={\sqrt {\frac {2}{L}}}\sin {\left({\frac {m\pi x}{L}}\right)},}
ψ
n
(
y
)
=
2
L
sin
(
n
π
y
L
)
,
{\displaystyle \psi _{n}(y)={\sqrt {\frac {2}{L}}}\sin {\left({\frac {n\pi y}{L}}\right)},}
można wyrazić za pomocą metryki probabilistycznej zmiennych niezależnych jako:
D
(
X
,
Y
)
=
∫
0
L
∫
0
L
|
x
−
y
|
|
ψ
m
(
x
)
|
2
|
ψ
n
(
y
)
|
2
d
x
d
y
=
{
L
(
4
π
2
m
2
−
15
12
π
2
m
2
)
m
=
n
,
L
(
2
π
2
m
2
n
2
−
3
m
2
−
3
n
2
6
π
2
m
2
n
2
)
m
≠
n
.
{\displaystyle {\begin{aligned}&D(X,Y)=\int \limits _{0}^{L}\int \limits _{0}^{L}|x-y|\,|\psi _{m}(x)|^{2}|\psi _{n}(y)|^{2}\,dx\,dy\\&={\begin{cases}L\left({\frac {4\pi ^{2}m^{2}-15}{12\pi ^{2}m^{2}}}\right)&m=n,\\L\left({\frac {2\pi ^{2}m^{2}n^{2}-3m^{2}-3n^{2}}{6\pi ^{2}m^{2}n^{2}}}\right)&m\neq n.\end{cases}}\end{aligned}}}
Odległość między cząstkami jest najmniejsza dla
m
=
1
{\displaystyle m=1}
i
n
=
1
,
{\displaystyle n=1,}
czyli dla minimalnej energii cząstek
X
{\displaystyle X}
i
Y
{\displaystyle Y}
i wynosi:
min
(
D
(
X
,
Y
)
)
=
L
(
4
π
2
−
15
12
π
2
)
≈
0,206
7
L
.
{\displaystyle \min {\big (}D(X,Y){\big )}=L\left({\frac {4\pi ^{2}-15}{12\pi ^{2}}}\right)\approx 0{,}2067L.}
Zgodnie z właściwościami metryki probabilistycznej odległość ta jest niezerowa. Dla wyższych poziomów energii
m
,
{\displaystyle m,}
n
{\displaystyle n}
zmierza do
L
/
3.
{\displaystyle L/3.}
Zastosowania praktyczne
Metrykę probabilistyczną można zastosować w miejscu typowego operatora metryki (zwykle metryki euklidesowej ) w różnorakich metodach numerycznych, a w szczególności w algorytmach aproksymacyjnych takich jak radialne funkcje bazowe [ 4] metoda Sheparda , czy sieci Kohonena .
Takie podejście ma podstawy fizyczne, umożliwiając uwzględnienie niepewności położenia znanych punktów aproksymacyjnych[ 5] [ 6] .
Metryka probabilistyczna znalazła do tej pory wiele praktycznych zastosowań. Zapewnia wygodę analizy i wymaga tylko kilku kroków technicznych, aby spełnić warunek Lipschitza [ 7] . Została uogólniona z
rozkładów prawdopodobieństwa na amplitudy prawdopodobieństwa za pomocą całek po trajektoriach. Amplitudy nie były przy tym interpretowane jako funkcje falowe cząstek kwantowych, ale reprezentowały wagi związane z punktami przestrzennymi w splątanej superpozycji geometrii, reprezentowanych przez przestrzeń fazową wyższego wymiaru[ 8] .
Zaproponowano również adaptacje metryki probabilistycznej, wykazując, że generują one bardziej gładkie wyniki[ 9] [ 10] .
W oparciu o łańcuchy Markowa połączono niepewność środowiskową z heterogenicznością wewnątrznowotworową, obie wyrażone w kategoriach probabilistycznych. Tym samym uwzględniono ewolucyjny charakter karcynogenezy , ponieważ prawdopodobieństwa przejść między poszczególnymi stanami korelują ze statystycznym dopasowaniem środowiska i atraktorów odpowiednich stanów. Wykazano, że konsekwencje losowego przełączania można łatwo określić ilościowo za pomocą metryki probabilistycznej, która określa odległość geometryczną punktów o współrzędnych zadanych odpowiednimi rozkładami prawdopodobieństwa[ 11] .
Przypisy
↑ Metryka Pomiarowa, przykłady zastosowań aproksymacyjnych w mechanice doświadczalnej (Measurement metric, examples of approximation applications in experimental mechanics) , rozprawa doktorska , Szymon Łukaszyk (autor), Wojciech Karmowski (promotor), Politechnika Krakowska, przedłozono 31 grudnia 2001 r., zakończono 31 marca 2004 r.
↑ A new concept of probability metric and its applications in approximation of scattered data sets , Łukaszyk Szymon, Computational Mechanics
Volume 33, Number 4, 299–304, Springer-Verlag 2003, doi:10.1007/s00466-003-0532-2
↑ Reply to "Various issues around the
L
1
{\displaystyle L_{1}}
-norm distance" , Tomski Andrzej and Łukaszyk Szymon, IPI Letters, Volume 33, Number 4, doi:10.59973/ipil.77
↑ Florian Hogewind, Peter Bissolli (2010) Operational maps of monthly mean temperature for WMO-Region VI (Europe and Middle East) , IDŐJÁRÁS, Quarterly Journal of the Hungarian Meteorological Service, Vol. 115, No. 1-2, Styczeń–Czerwiec 2011, str. 31-49, str. 41
↑ Gang Meng, Jane Law, Mary E. Thompson (2010) "Small-scale health-related indicator acquisition using secondary data spatial interpolation" , International Journal of Health Geographics , 9:50 doi:10.1186/1476-072X-9-50
↑ Gang Meng (2010)Social and Spatial Determinants of Adverse Birth Outcome Inequalities in Socially Advanced Societies , Thesis (Doctor of Philosophy in Planning), University of Waterloo, Canada
↑ X. Pan, et al. Theoretical Analysis of Image-to-Image Translation with Adversarial Learning , Proceedings of the 35th International Conference on Machine Learning, Stockholm, Sweden, PMLR 80, 2018.
↑ M. Lake, et. al. Generalised uncertainty relations from superpositions of geometries , Classical and Quantum Gravity, Volume 36, Number 15, 2019.
↑ P. Durdevic, et al. Cost-Effective ERT Technique for Oil-in-Water Measurement for Offshore Hydrocyclone Installations , 2nd IFAC Workshop on Automatic Control in Offshore Oil and Gas Production, May 27-29, 2015, Florianópolis, Brazil.
↑ S. Pedersen, et al. Online Slug Detection in Multi-phase Transportation Pipelines Using Electrical Tomography , 2nd IFAC Workshop on Automatic Control in Offshore Oil and Gas Production, May 27-29, 2015, Florianópolis, Brazil.
↑ B. Brutovsky, et al. Towards inverse modeling of intratumor heterogeneity , Open Phys. 2015; 13:232–241.