Przegrupowanie Pummerera
Przegrupowanie Pummerera – reakcja chemiczna, w której sulfotlenek alkilu w obecności bezwodnika octowego ulega przegrupowaniu do α-acyloksy-tioeteru. W trakcie reakcji atom siarki ulega redukcji, natomiast sąsiedni atom węgla zostaje utleniony. Reakcja została odkryta przez niemiecko-austriackiego chemika Rudolfa Pummerera[1][2].

Przegrupowanie Pummerera było przedmiotem kilku publikacji przeglądowych[3][4][5].
Zastosowanie do reakcji sulfotlenków α-acylowych i kwasów Lewisa (takich jak TiCl4 lub SnCl4) pozwala na przeprowadzenie procesu w niskich temperaturach (0 °C)[6].
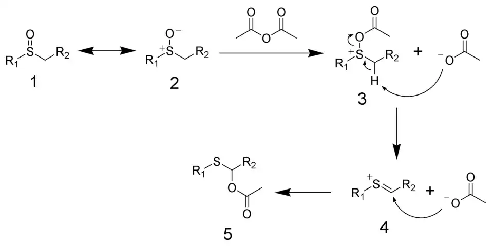
Mechanizm
Pierwszym etapem przegrupowania Pummerera jest acylowanie sulfotlenku (przedstawionego strukturami mezomerycznymi 1 i 2) na atomie tlenu. Powstały związek 3 ulega reakcji eliminacji z wytworzeniem przejściowego jonu sulfoniowego 4, do którego przyłącza się jon octanowy, dając produkt końcowy 5.

Przegrupowanie Pummerera można przeprowadzić, wykorzystując także inne bezwodniki oraz chlorki kwasowe.
Warianty
Jon sulfoniowy może zostać wyłapany przez nukleofile z wytworzeniem wiązań węgiel-węgiel i węgiel-heteroatom. Np. chlorek tionylu może zostać wykorzystany zarówno do wytworzenia jonów sulfoniowych, jak i do ich wyłapania[7]:

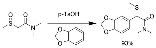
Podobnie wykorzystuje się inne nukleofile, np. weratrol (1,2-dimetoksybenzen)[8]:

Fragmentacja Pummerera
W przypadku gdy reszta α-organiczna jest bardzo dobrą grupą odchodzącą, wówczas ulegnie ona eliminacji na etapie pośrednim zamiast wodoru α. Taki kierunek reakcji nazywany jest fragmentacją Pummerera[9]:

Po prawej stronie grupą organiczną R2 jest fiolet krystaliczny tworzący umiarkowanie trwały karbokation (pKR+ 9,4) i reakcja przebiega według klasycznego mechanizmu przegrupowania Pummerera. Grupa R1 po lewej stronie jest bardzo dobrą grupą odchodzącą (tworzy bardzo trwały karbokation, pKR+ 23,7), co prowadzi do fragmentacji związku pośredniego.
Zobacz też
Przypisy
- ↑ Pummerer, R. Ber. (1909), 42, 2282
- ↑ Pummerer, R. Ber. (1910), 43, 1401
- ↑ Ottorino de Lucchi, Umberto Miotti, Giorgio Modena, The Pummerer Reaction of Sulfinyl Compounds, „Organic Reactions”, 40, 1991, s. 157-184, DOI: 10.1002/0471264180.or040.03.
- ↑ Albert Padwa i inni, Application of the Pummerer Reaction Toward the Synthesis of Complex Carbocycles and Heterocycles, „Synthesis”, 1997 (12), 1997, s. 1353–1377, DOI: 10.1055/s-1997-1384, ISSN 0039-7881 (ang.).
- ↑ Albert Padwa i inni, Linked Pummerer-Mannich Ion Cyclizations for Heterocyclic Chemistry, „Synlett”, 2002 (06), 2002, s. 0851–0862, DOI: 10.1055/s-2002-31891, ISSN 0936-5214 (ang.).
- ↑ Ioannis K. Stamos, Arylation of α-phosphoryl sulfides via their pummerer rearrangement intermediates generated from the corresponding sulfoxides, „Tetrahedron Letters”, 27 (51), 1986, s. 6261–6262, DOI: 10.1016/s0040-4039(00)85447-7 (ang.).
- ↑ Kosugi, H.; Watanabe, Y.; Uda, H. "Lewis Acid-Mediated Carbon–Carbon Bond Forming Reaction Using the Pummerer Rearrangement Products from Chiral β-Hydroxy Sulfoxides", Chem. Lett. (1989), 1865
- ↑ Ishibashi, H. Miki, Y., Ikeda, Y., Kiriyama, A., Ikeda, M. "Synthesis of α-(Methylthio)arylacetamides and Their Conversion into Some Biologically Active Arylethylamines", Chem. Pharm. Bull. (1989), 37, 3396
- ↑ Benoît Laleu, Marco Santarem Machado, Jérôme Lacour, Pummerer fragmentation vs. Pummerer rearrangement: a mechanistic analysis, „Chemical Communications” (26), 2006, DOI: 10.1039/b605187a, ISSN 1364-548X (ang.).