Przegrupowanie pinakolowe
Przegrupowanie pinakolowe – nazwa reakcji chemicznej, podczas której 1,2-diole przekształcają się w aldehydy lub ketony o takiej samej liczbie atomów węgla. Podczas reakcji następuje dehydratacja substratu i przegrupowanie 1,2.
Przegrupowanie pinakolowe było jednym z pierwszych odkrytych przegrupowań szkieletu węglowego w chemii organicznej. Nazwa reakcji pochodzi od związku o nazwie pinakol (2,3-dimetylobutano-2,3-diol), który w trakcie destylacji z rozcieńczonym kwasem siarkowym przekształca się w pinakolon (3,3-dimetylobutan-2-on), zwany również pinakoliną[1].

Przegrupowanie pinakolu do pinakolonu
Przekształcenie pinakolu (otrzymanego z acetonu) w pinakolinę zostało opisane po raz pierwszy w roku 1859 przez niemieckiego chemika Wilhelma Fittiga, a prawidłową strukturę związków i mechanizm reakcji przedstawił w roku 1873 chemik rosyjski, Aleksandr Butlerow[2].
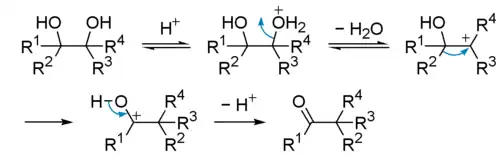
Mechanizm reakcji
Reakcja przebiega w środowisku kwaśnym. Kation wodorowy protonuje jedną z grup hydroksylowych diolu, po czym następuje eliminacja cząsteczki wody z wytworzeniem karbokationu. W następnym etapie przebiega przegrupowanie 1,2[3] grupy alkilowej R2 (lub atomu wodoru, jeśli R2 = H) do karbokationu z ładunkiem dodatnim na węglu alkoholowym, z którego w wyniku deprotonacji powstaje produkt końcowy reakcji – związek karbonylowy (ketonu dla R1 = alkil, aldehydu dla R1 = H).

Zastosowanie
Przegrupowanie pinakolowe pozwala na syntezę aldehydów lub ketonów z alkenów (które można łatwo przeprowadzić w diole wicynalne). W ten sposób przemysłowo z izobutylenu, (CH3)2C=CH2, otrzymuje się aldehyd izomasłowy, (CH3)2CHCHO[1].
Przypisy
- 1 2 J.D. Roberts, M.C. Caserio: Chemia organiczna. Warszawa: PWN, 1969, s. 444.
- ↑ Jerome A. Berson. What Is a Discovery? Carbon Skeletal Rearrangements as Counter-Examples to the Rule of Minimal Structural Change. „Angewandte Chemie International Edition”. 41 (24), s. 4655–4660, 2002. DOI: 10.1002/anie.200290007. PMID: 12481317.
- ↑ Robert T. Morrison, Robert N. Boyd: Chemia organiczna. Warszawa: PWN, 1985, s. 218. ISBN 83-01-04166-8.