Reakcja Kolbego
Reakcja Kolbego (lub reakcja Kolbego-Schmitta) – dwuetapowa metoda otrzymywania kwasu salicylowego z fenolanu sodu. Opisana po raz pierwszy przez Hermanna Kolbego w 1860, a następnie przez Rudolfa Schmitta w 1885[1][2][3].
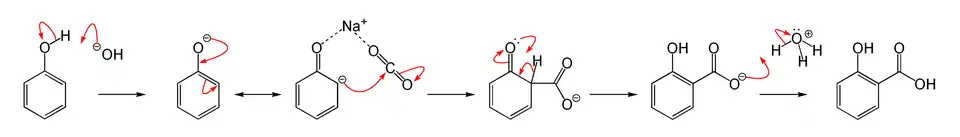
Pierwszy etap polega na działaniu dwutlenkiem węgla na fenolan sodu w temperaturze 125 °C i pod ciśnieniem kilku atmosfer. W wyniku elektrofilowego ataku CO2 na pierścień aromatyczny fenolanu powstaje salicylan sodu.
W drugim etapie otrzymany salicylan sodu zakwasza się np. kwasem siarkowym i powstaje wolny kwas salicylowy:
- 2C6H4(OH)COONa + H2SO4 → 2C6H4(OH)COOH + Na2SO4

Przypisy
- ↑ Hermann Kolbe. Ueber Synthese der Salicylsäure. „Annalen der Chemie und Pharmacie”. 113 (1), s. 125–127, 1860. DOI: 10.1002/jlac.18601130120.
- ↑ R. Schmitt. Beitrag zur Kenntniss der Kolbe’schen Salicylsäure Synthese. „Journal für Praktische Chemie”. 31 (1), s. 397–411, 1885. DOI: 10.1002/prac.18850310130.
- ↑ A.S. Lindsey, H. Jeskey. The Kolbe-Schmitt Reaction. „Chem. Rev.”. 57 (4), s. 583–620, 1957. DOI: 10.1021/cr50016a001.