Reakcja Leuckarta
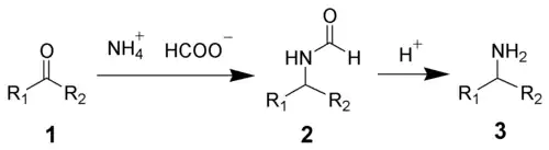
Reakcja Leuckarta – reakcja chemiczna polegająca na redukcyjnym aminowaniu związków karbonylowych za pomocą soli amonowych kwasu mrówkowego lub formamidu do N-formyloamin. Po hydrolizie uzyskuje się aminy z odpowiednich ketonów oraz aldehydów.
Reakcja ta została odkryta przez przypadek przez Rudolfa Leuckarta w 1885 roku przy okazji badań nad inną reakcją[1]. Redukcyjne aminowanie zachodzi również z podstawionymi pierwszo- oraz drugorzędowymi mrówczanami amin oraz z N-podstawionymi amidami kwasu mrówkowego[2].

W pierwszym etapie reakcji tworzy się amid oraz woda w wyniku rozkładu termicznego mrówczanu. W drugim etapie następuje redukcja i przyłączenie grupy aminoformylowej (-NHCHO) w miejscu grupy karbonylowej. Reakcja zachodzi w wysokich temperaturach, ok. 180-200 °C, na granicy rozkładu amidów oraz wrzenia związków karbonylowych z wydzieleniem amoniaku w przypadku użycia mrówczanu amonu lub odpowiedniej aminy w przypadku podstawionego mrówczanu. Drugim produktem jest dwutlenek węgla (CO2), który w połączeniu z aminą tworzy nietrwały karbaminian gromadzący się w chłodnicy podczas reakcji.
Utworzoną formylową pochodną wydziela się, a następnie hydrolizuje do aminy. Gdy do reakcji użyje się dodatkowo nadmiaru kwasu mrówkowego zwiększa się wydajność, a czas reakcji skraca się na skutek silnego działania redukcyjnego kwasu mrówkowego[3][4]. Tę modyfikację nazywa się reakcją Leuckarta-Wallacha[5][6]. Wydajności reakcji różnych reakcji aminowania redukcyjnego które wahają się od 5 do 60%[7] można podnieść do 90–98% przez zastosowanie reaktora mikrofalowego przy jednoczesnym skróceniu czasu reakcji z 3–6 h do ½–1 h[8][9].
Przypisy
- ↑ Leuckart, R.. Ueber eine neue Bildungsweise von Tribenzylamin. „Berichte der deutschen chemischen Gesellschaft”. 18 (2), s. 2341-2344, 1885. DOI: 10.1002/cber.188501802113.
- ↑ deBenneville, Peter L., Macartney, Jane H.. The Behavior of Aliphatic Aldehydes in the Leuckart-Wallach Reaction. „Journal of the American Chemical Society”. 72 (7), s. 3073-3075, 1950. DOI: 10.1021/ja01163a074.
- ↑ Wallach, O.. Zur Kenntniss der Terpene und der ätherischen Oele; Zweiundzwanzigste Abhandlung. I. Ueber die Bestandtheile des Tujaöls. „Justus Liebigs Annalen der Chemie”. 272 (1), s. 99-122, 1893. DOI: 10.1002/jlac.18932720103.
- ↑ Moore, Maurice L.. The Leuckart Reaction. „Organic Reactions”. 5, s. 301, 1949. DOI: 10.1002/0471264180.or005.07.
- ↑ A.W. Ingersoll, α-Phenylethylamine, „Organic Syntheses”, 17, 1937, s. 76, DOI: 10.15227/orgsyn.017.0076.
- ↑ Arthur I. Vogel: Preparatyka organiczna. Wyd. 2. WNT, 1984, s. 486.
- ↑ Ingersoll, A. W., Brown, J. H., Kim, C. K., Beauchamp, W. D. i inni. Extensions of the Leuckart Synthesis of Amines. „Journal of the American Chemical Society”. 58 (9), s. 1808-1811, 1936. DOI: 10.1021/ja01300a089.
- ↑ Loupy, Andre, Monteux, Daphne, Petit, Alain, Aizpurua, Jesus Ma i inni. Towards the rehabilitation of the Leuckart reductive amination reaction using microwave technology. „Tetrahedron Letters”. 37 (45), s. 8177-8180, 1996. DOI: 10.1016/0040-4039(96)01865-5.
- ↑ Perreux, Laurence, Loupy, Andre. A tentative rationalization of microwave effects in organic synthesis according to the reaction medium, and mechanistic considerations. „Tetrahedron”. 57 (45), s. 9199-9223, 2001. DOI: 10.1016/S0040-4020(01)00905-X.