Reakcja Reimera-Tiemanna
Reakcja Reimera-Tiemanna – reakcja chemiczna pomiędzy fenolem lub podstawionym fenolem, a chloroformem. Zachodzi w silnie alkalicznym środowisku wodnym. W jej wyniku do pierścienia aromatycznego zostaje przyłączona grupa aldehydowa, najczęściej w pozycji orto względem grupy -OH.
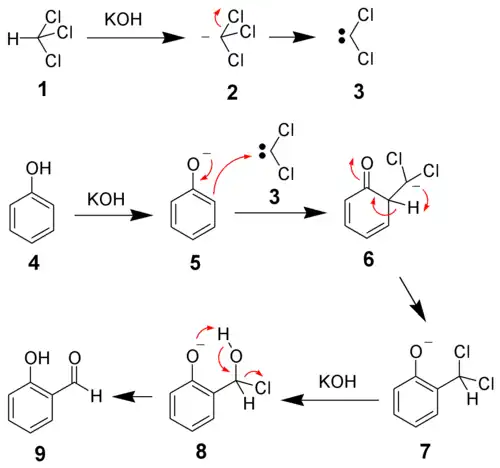
Mechanizm
W środowisku alkalicznym fenol pozostaje w równowadze z jonem fenolanowym.
- PhOH + NaOH ⇌ PhO-Na+ + H2O
Powstały fenolan sodu występuje w środowisku wodnym w postaci jonowej. W reakcji R-T bierze udział wytworzony in situ karben, a dokładniej dichlorokarben. Jest on reagentem elektrofilowym, który reaguje z bardzo aktywnym pierścieniem fenolanu. Dichlorokarben powstaje według schematu:
- OH- + CHCl3 ⇌ H2O + :CCl3- ⇌ Cl- + :CCl2
Reakcja fenolanu z dichlorokarbenem przechodzi przez tetraedryczny stan przejściowy, tworząc podstawiony chlorek benzylidenu, który jest następnie hydrolizowany w alkalicznym środowisku reakcji, dając salicylan, który następnie może zostać wydzielony i zhydrolizowany w środowisku kwaśnym do kwasu salicylowego.

Znaczenie reakcji R-T
Gama związków możliwych do otrzymania za pomocą reakcji Reimera-Tiemanna jest dość wąska. Najważniejszym produktem jest aldehyd salicylowy, który może zostać utleniony do kwasu salicylowego, a następnie poddany acetylowaniu do kwasu acetylosalicylowego (aspiryny). Współcześnie odchodzi się od reakcji, w których powstają duże ilości produktów ubocznych, a do takich należy reakcja R-T.
Fenol reaguje tu ze stechiometryczną ilością chloroformu, zaś produkt końcowy nie zawiera chloru. Masa cząsteczkowa produktu wynosi 122, zaś trzy atomy chloru odpowiadają masie 106. A zatem jeżeli w linii produkcyjnej opartej na tej reakcji wyprodukuje się 1 tonę kwasu salicylowego, to równocześnie otrzyma się 870 kg jonów chlorkowych tworzących niepożądany odpad (np. 1,8 t KCl). Z tego względu współcześnie reakcja ta nie jest zbyt często stosowana w przemyśle.