Reakcja haloformowa
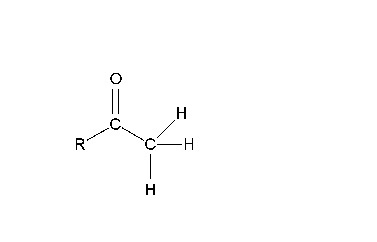
Reakcja haloformowa – reakcja chemiczna, w której powstaje haloform (CHX3, gdzie X jest halogenem) przez wielokrotne halogenowanie metyloketonów (ketonów typu R−C(O)−CH3) w obecności zasady[1]. R może być wodorem, alkilem bądź arylem. W wyniku takiej reakcji można otrzymać CHCl3, CHBr3 lub CHI3.

Reakcji tej ulegają także alkohole drugorzędowe i inne związki o wzorze ogólnym RCH(OH)CH3, które w pierwszym etapie procesu utleniane są do związków karbonylowych typu R−CO−CH3:

Grupa R nie może mieć charakteru donorującego elektrony do grupy C=O (nie może to być halogen, OH, NH2 itp.), gdyż hamuje to deprotonację związku karbonylowego (która inicjuje cały proces)[2]. Reakcji tej ulega więc także etanol i aldehyd octowy (produkt wstępnego utlenienia etanolu). Właśnie etanol był pierwszym związkiem, dla którego w roku 1822 zaobserwowano reakcję haloformową – po dodaniu krystalicznego jodu do alkoholowego roztworu zasady wytrącił się żółty osad jodoformu[3].
Zastosowania
Reakcja haloformowa z użyciem jodu (próba jodoformowa) jest metodą analityczną stosowaną do wykrywania obecności metyloketonów (np. acetonu) lub innych związków, które można utlenić do odpowiednich metyloketonów[a]. W obecności tych związków, w wyniku reakcji haloformowej z jodem wytrąca się nierozpuszczalny, jasnożółty osad jodoformu.
Do niedawna była także używana na skalę przemysłową do otrzymywania jodoformu, bromoformu i chloroformu.
Reakcja haloformowa pozwala na przekształcenie metyloketonów w kwasy karboksylowe, także w obecności wiązania podwójnego C=C w cząsteczce[4]:
- R–C(O)Me → R–COOH
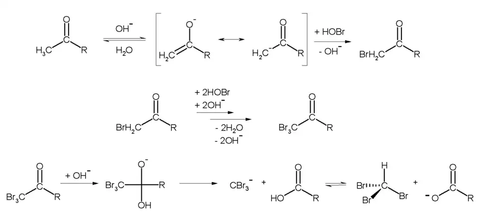
Mechanizm reakcji
Przebieg reakcji haloformowej z podbrominami z wydzieleniem bromoformu:

![]() |
| Animacja |
Uwagi
- ↑ Obecnie używa się do tego celu spektroskopii NMR i spektroskopii podczerwieni. Preferuje się je ze względu na łatwość i szybkość zastosowania, a także brak destruktywnego wpływu na substancje oraz mniejsze wymagania ilościowe badanej próbki.
Przypisy
- ↑ Chakrabartty: Trahanovsky (red.): Oxidation in Organic Chemistry. New York: Academic Press, 1978, s. 343-370.
- ↑ Seelye, R. N., Turney, T. A.. The iodoform reaction. „Journal of Chemical Education”. 36 (11), s. 572–574, 1959. DOI: 10.1021/ed036p572.
- ↑ László Kürti, Barbara Czakó: Strategic Applications of Named Reactions in Organic Synthesis. Background and Detailed Mechanisms. Elsevier, 2005, s. 264–265. ISBN 0-12-429785-4.
- ↑ J.D. Roberts, M.C. Caserio: Chemia organiczna. Warszawa: PWN, 1969, s. 489–490.
