Rys historyczny
Zasadnicza idea transformaty znanej dziś jako transformata Z była znana jeszcze przez Pierre Simon de Laplace’a. W 1947 roku transformatę wprowadził ponownie Witold Hurewicz jako dogodną metodę rozwiązywania liniowych równań różniczkowych o stałych współczynnikach. W 1952 roku John Ragazzini i Lotfi Zadeh pracując z zagadnieniami układów dyskretnych w zespole na Columbia University nadali jej nazwę transformaty Z.
Nazwa tej transformaty może pochodzić od litery „z” jako dyskretnej wersji litery „s”, często używanej jako zmienna niezależna w transformacie Laplace’a, co wydaje się zasadne, jako że transformata Z jest w istocie dyskretną wersją transformaty Laplace’a. Inne możliwe pochodzenie to litery „z” w nazwiskach badaczy (Ragazzini, Zadeh), którzy opublikowali fundamentalny artykuł na jej temat. Tym niemniej nazwa odbiega od powszechnie przyjętej konwencji praktykowanej w świecie nauki, by do metod lub twierdzeń stosować nazwy związane z ich pierwszymi badaczami (na przykład transformata Fouriera, transformata Laplace’a, transformata Hartleya itp.).
Nieco później E. I. Jury wprowadził i spopularyzował zmodyfikowaną transformatę Z[1].
Idea zawarta w transformacie Z w literaturze matematycznej znana jest jako metoda funkcji tworzących, którą to datuje się na rok 1730, kiedy to została wprowadzona przez Abrahama de Moivre’a w powiązaniu z teorią prawdopodobieństwa. Z matematycznego punktu widzenia transformatę Z można także traktować jako szereg Laurenta, gdzie występuje szereg liczb jako rozwinięcie (Laurenta) funkcji analitycznej.
Własności
Liniowość
![{\displaystyle Z[af_{1}(kT)+bf_{2}(kT)]=aF_{1}(z)+bF_{2}(z).}](./06fcc808431bdbadd0422b1ff8aec5f99ece24e8.svg)
![{\displaystyle Z\left[g(kT)\right]=Z\left[\ \sum _{n=-\infty }^{k}\ f(nT)\right]={\frac {z}{z-1}}F(z).}](./a1827390c2633f6ded4d76a32bdb8aa4a8a50bd9.svg)
![{\displaystyle Z[f((k+1)T)-f(kT)]=(z-1)F(z)-zf(0).}](./e5b3419fe5554a22f34adfd7f3ab654a105f7ac2.svg)
Splot
![{\displaystyle Z[f_{1}(n)*f_{2}(n)]=Z[f_{1}(0)\cdot f_{2}(n)+\ldots +f_{1}(k)\cdot f_{2}(n-k)+\ldots +f_{1}(n)\cdot f_{2}(0)]=F_{1}(z)\cdot F_{2}(z).}](./fd302c5f88c1eaca06c1493cb58a7e5e037d6395.svg)
Twierdzenie o wartości początkowej

Twierdzenie o wartości końcowej
- Jeśli istnieje granica,
to ma ona wartość:

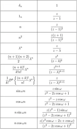
W poniższej tabeli przyjęto, że:


| Lp. |  | transformata Z,  | obszar zbieżności |
| 1 |  |  |  |
| 2 |  |  |  |
| 3 |  |  |  |
| 4 |  |  |  |
| 5 |  |  |  |
| 6 |  |  |  |
| 7 |  |  |  |
| 8 |  |  |  |
| 9 |  |  |  |
| 10 |  |  |  |
Przykłady
Przykład 1
Wyprowadź wzór na transformatę delty Kroneckera, 
Rozwiązanie
Dla przypomnienia, delta Kroneckera zdefiniowana jest następująco:

Korzystając z definicji otrzymujemy:
![{\displaystyle Z[\delta (n)]=\ldots +0\cdot z^{2}+0\cdot z^{1}+1\cdot z^{0}+0\cdot z^{-1}+0\cdot z^{-2}+\dots ,}](./50b6b24b8efb6da025a10d3e041961041cfcfc75.svg)
stąd:
![{\displaystyle Z[\delta (n)]=1.}](./1a7ebea381be174992b5f955bcc0eac9d62d02b2.svg)
Przykład 2
Wyprowadź wzór na transformatę ciągu
zdefiniowanego następująco:

Rozwiązanie
Zauważmy, że ciąg
można zapisać za pomocą następującego zwartego wzoru:

Zatem:
![{\displaystyle Z[x(n)]=\ldots +0\cdot z^{2}+0\cdot z^{1}+1\cdot z^{0}+{\frac {1}{2}}\cdot z^{-1}+{\frac {1}{4}}\cdot z^{-2}+{\frac {1}{8}}\cdot z^{-3}+\ldots }](./66c260242d5f7ac4f098f4611ce1360f92a75861.svg)
![{\displaystyle Z[x(n)]=\sum \limits _{n=0}^{\infty }\left({\frac {1}{2}}z^{-1}\right)^{n}.}](./06a56d16009c8aa77389a372eaaddd8e3e43cae7.svg)
Po prawej stronie rozpoznajemy szereg geometryczny z ilorazem
Szereg jest zbieżny gdy
co oznacza, że:

Powyższa nierówność, nazywana jest obszarem zbieżności lub obszarem istnienia transformaty. Na płaszczyźnie zespolonej
nierówność
jest obszarem na zewnątrz koła o promieniu
Gdy
transformata istnieje (tj. rozważany wcześniej szereg jest zbieżny) i jest równa:
![{\displaystyle Z[x(n)]={\frac {1}{1-q}}={\frac {1}{1-{\frac {1}{2}}z^{-1}}}={\frac {z}{z-{\frac {1}{2}}}}.}](./20fdf4412bbaacef82902333d5256e2b2b6eecfc.svg)
Przykład 3
Wyprowadź wzór na transformatę ciągu 
Rozwiązanie
Mając na uwadze poprzedni przykład możemy napisać:
![{\displaystyle Z[x(n)]=\sum \limits _{n=0}^{\infty }a^{n}z^{-n}=\sum \limits _{n=0}^{\infty }\left(az^{-1}\right)^{n}.}](./c750b3a5bb6d9dad7e586349a290f048fc2ca9e5.svg)
Ciąg powyższy ma skończoną sumę gdy:

Powyższa nierówność jest obszarem zbieżności lub istnienia transformaty. Na płaszczyźnie zespolonej
nierówność
jest obszarem na zewnątrz koła o promieniu
Gdy
transformata istnieje i jest równa:
![{\displaystyle Z[x(n)]={\frac {1}{1-az^{-1}}}={\frac {z}{z-a}}.}](./7515b46d74e33098e4f879b7a529f98d49c3fc81.svg)
Przykład 4
Wyprowadzić wzór na transformatę skoku jednostkowego 
Rozwiązanie
Korzystając z wyniku wyprowadzonego w poprzednim przykładzie, zauważamy, że:
gdzie 
stąd:
![{\displaystyle Z[u(n)]={\frac {z}{z-1}}.}](./481e836dba2b43e18eb5258dac2c423fc17c4104.svg)
Obszar zbieżności jest opisany nierównością 
Transformata Z stanowi uogólnienie dyskretnej transformaty Fouriera. Dyskretna transformata Fouriera może być określona przez określenie wartości transformaty Z
dla 
lub innymi słowy określenie jej wartości na okręgu jednostkowym. Aby określić charakterystykę częstotliwościową układu, wartość transformaty Z musi być określona na okręgu jednostkowym, co oznacza, że obszar zbieżności układu musi zawierać okrąg jednostkowy. W przeciwnym przypadku dyskretna transformata Fouriera nie istnieje.
Przypisy
- ↑ Eliahu Ibrahim Jury: Theory and Application of the z-Transform Method. John Wiley & Sons, 1964. Brak numerów stron w książce
Bibliografia
- Jacek Wojciechowski, Sygnały i systemy, Wydawnictwa Komunikacji i Łączności, 2008.
- Michał Tadeusiewicz, Signals and Systems, Wydawnictwo Politechniki Łódzkiej, 2004.
- Przemysław Barański, Przekształcenie Z – zastosowania w filtracji cyfrowej sygnałów – zbiór zadań, Wydawnictwo Politechniki Łódzkiej, 2014.
| transformacje całkowe |
|
|---|
| inne transformacje |
|
|---|
| w rachunku prawdopodobieństwa |
|
|---|