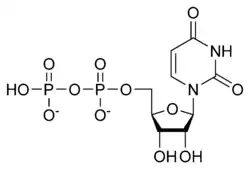
Urydyno-5′-difosforan
| |||||||||
| |||||||||
| Ogólne informacje | |||||||||
| Wzór sumaryczny |
C9H14N2O12P2 | ||||||||
|---|---|---|---|---|---|---|---|---|---|
| Masa molowa |
404,16 g/mol | ||||||||
| Identyfikacja | |||||||||
| Numer CAS | |||||||||
| PubChem | |||||||||
| DrugBank | |||||||||
| |||||||||
| |||||||||
| Podobne związki | |||||||||
| Podobne związki | |||||||||
Urydyno-5′-difosforan (UDP) – organiczny związek chemiczny, rybonukleotyd złożony z urydyny i dwóch grup fosforanowych. Fosforylacja UDP prowadzi do powstania UTP z utworzeniem wysokoenergetycznego wiązania bezwodnikowego[1]. UDP powstaje z UTP w wyniku hydrolizy lub przeniesienia jednej reszty fosforanowej z UTP na akceptor (np. glukozę lub białko). Jest też produktem ubocznym biosyntezy glikogenu[2]:
- glikogenn + UDP-glukoza → glikogenn+1 + UDP
Zobacz też
- adenozynodifosforan (ADP)
