Wzór Boole’a
Wzór Boole’a – jedna z metod całkowania numerycznego, której nazwa wywodzi się od nazwiska Angielskiego matematyka George’a Boole’a. Często błędnie podawany jako wzór Bode’a w wyniku błędu literowego występującego w publikacji „Abramowitz and Stegun” z roku 1964. Nowsze prace prawidłowo podają ów wzór jako „Boole’a” nie „Bode’a”.
Całkowanie numeryczne znane również jako kwadratura numeryczna jest zbiorem badań, których celem jest określenie metod pozwalających na obliczanie całek oznaczonych. W najprostszym ujęciu jest to przybliżone określenie powierzchni wykresu pod krzywą zawierającą się pomiędzy dwoma punktami brzegowymi a oraz b.
Według podstawowych teorii analizy matematycznej wyprowadzony został wzór ogólny kwadratury.

Zmieniając wartości zmiennej n jesteśmy w stanie obliczyć całkowanie numeryczne dowolnego rzędu. Począwszy od najniższego stopnia wykorzystujemy wzór trapezów, Simpsona 1/3, Simpsona 3/8, Boole’a itd.
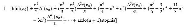
Poprzez podstawienie n = 4 do ogólnego wzoru kwadratury otrzymujemy następujące wyprowadzenie. n = 4 oznacza że funkcja f(x) może być aproksymowana przez wielomiany 4. stopnia.

Ostateczny wzór jest równaniem Boole’a reprezentującym obszar pod krzywą funkcji f(x) oraz między punktami brzegowymi x=a i x=b.
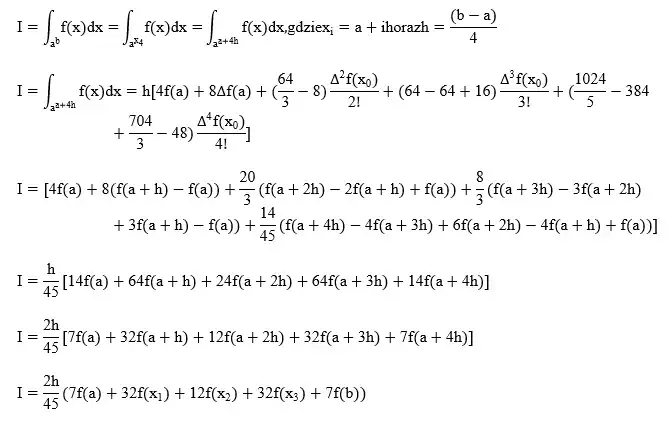
W przypadku kiedy zakres całkowania mieści się w przedziale od, a do a+nh=b, to możliwe jest takie usprawnienie wzoru Boole’a by podzielić zakres całkowania (a,b) na mniejsze podzakresy o szerokości 4h i zastosowanie każdego z zakresów z osobna do wzoru Boole’a. Suma wszystkich pól powierzchni z każdego z podzakresów będzie całkowitą powierzchnią pierwotnego całkowania. W takim przypadku mówimy o złożonym wzorze Boole’a.
Zobacz też
Bibliografia
- J.i M. Jankowscy, Przegląd metod i algorytmów numerycznych. Warszawa, 1981.
- M. Abramowitz and I. A. Stegun, eds. Handbook of Mathematical Functions with Formulas, Graphs, and Mathematical Tables. New York: Dover, 1972.
- Z. Fortuna, B. Macukow, J.Wąsowski, Metody Numeryczne. Warszawa, 1982, 2005.
- Boole’s Rule – from mathfaculty.fullerton.edu (eng.). mathfaculty.fullerton.edu. [zarchiwizowane z tego adresu (2014-12-06)].