Reakcja formozowa
Reakcja formozowa – odkryta przez Aleksandra Butlerowa w 1861[1][2] reakcja tworzenia cukru z formaldehydu. Słowo „formoza” pochodzi z połączenia formaldehydu i aldozy.
Historia i autorstwo
Na konferencji Rosyjskiego Towarzystwa Chemicznego w 1878 A.P. Eltekow przedstawił nową metodę syntezy rozgałęzionych węglowodorów nienasyconych. Nad tematem pracował A. Butlerow, a jego asystentką była Julia Lermontowa, która przeprowadziła wiele eksperymentów. Reakcja znana jest dziś jako reakcja Butlerowa-Eltekowa-Lermontowej[3].
Reakcja i jej mechanizm
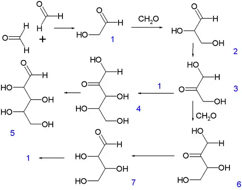
Reakcja katalizowana jest przez zasadę i metal dwuwartościowy, jak wapń. Etapy pośrednie zachodzą w mechanizmie kondensacji aldolowej, reakcji odwrotnej do kondensacji aldolowej, izomeryzacji między aldozą i ketozą. Produkty pośrednie to glikoaldehyd, gliceraldehyd, dihydroksyaceton oraz tetrozy. W 1959 Ronald Breslow zaproponował mechanizm dla tej reakcji składający się z następujących kroków[4]:

Reakcja zaczyna się od kondensacji dwóch cząsteczek metanalu, tworzących razem glikoaldehyd (1). Reaguje on następnie w mechanizmie kondensacji aldolowej z kolejną cząsteczką aldehydu mrówkowego, tworząc gliceraldehyd (2). izomeryzacja pomiędzy formami aldozową i ketozową tworzy z niego dihydroksyaceton (3), który może reagować z (1), dając w efekcie rybulozę (4), przechodzącą potem izomeryzację do rybozy (5). Dihydroksyaceton może również reagować z metanalem, dając w efekcie tetrulozę (6), a następnie aldotetrozę (7). Ta ostatnia cząsteczka potrafi ulec podziałowi z wytworzeniem (2) w mechanizmie odwrotnej kondensacji aldolowej.
Znaczenie
Reakcja formozowa ma wielkie znacznie dla pytania o pochodzenie życia. Wyjaśnia bowiem część ścieżki wiodącej od prostego metanalu do złożonych cukrów, jak ryboza, prowadzącej dalej do RNA. W jednym z doświadczeń symulujących warunki panujące na wczesnej Ziemi pentozy tworzyły się z mieszanin formaldehydu, glyceraldehydu i minerałów boranowych, jak colemanit (Ca2B6O11 · 5H2O) czy kernit (Na2B4O7)[5] Zarówno metanal, jak i glikoaldehyd obserwowano dzięki spektroskopii w przestrzeni kosmicznej, co stawia reakcję formozową w obszarze zainteresowań astrobiologii.
Przypisy
- ↑
A.M. Boutlerow. Formation synthétique d’une substance sucrée. „Comptes rendus hebdomadaires des séances de l’Académie”. 53, s. 145–147, 1861. [dostęp 2017-06-08]. (fr.). Przedruk niemiecki:
A. Butlerow. Bildung einer zuckerartigen Substanz durch Synthese. „Justus Liebigs Annalen der Chemie”. 120 (3), s. 295–298, 1861. DOI: 10.1002/jlac.18611200308. [dostęp 2017-06-08]. (niem.). - ↑ Leslie E. Orgel, Self-organizing biochemical cycles, „PNAS”, 23, 97, 2000, s. 12503–12507, DOI: 10.1073/pnas.220406697, PMID: 11058157, PMCID: PMC18793 (ang.).
- ↑ Julia Lermontowa – Piękniejsza Strona Nauki [online] [dostęp 2022-01-07] (pol.).
- ↑ Ronald Breslow, On the mechanism of the formose reaction, „Tetrahedron Letters”, 21, 1, 1959, s. 22–26, DOI: 10.1016/S0040-4039(01)99487-0 (ang.).
- ↑ A. Ricardo i inni, Borate Minerals Stabilize Ribose, „Science”, 5655, 303, 2004, s. 196, DOI: 10.1126/science.1092464, PMID: 14716004 (ang.).