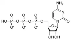
Cytydyno-5′-trifosforan
| |||||||||||||
| |||||||||||||
| Ogólne informacje | |||||||||||||
| Wzór sumaryczny |
C9H16N3O14P3 | ||||||||||||
|---|---|---|---|---|---|---|---|---|---|---|---|---|---|
| Masa molowa |
483,16 g/mol | ||||||||||||
| Identyfikacja | |||||||||||||
| Numer CAS | |||||||||||||
| PubChem | |||||||||||||
| DrugBank | |||||||||||||
| |||||||||||||
| |||||||||||||
| |||||||||||||
| Podobne związki | |||||||||||||
| Podobne związki | |||||||||||||
Cytydyno-5′-trifosforan, CTP – organiczny związek chemiczny, nukleotyd złożony z rybozy, cytozyny i trzech grup fosforanowych. Odgrywa ważną rolę przy aktywacji alkoholi (np. etanoloamina, choliny) w biosyntezie fosfolipidów.
