Nukleotydy
Nukleotydy – organiczne związki chemiczne z grupy estrów fosforanowych; są estrami nukleozydów i kwasu fosforowego (5'-fosforany nukleozydów).
Nukleotydy stanowią podstawowe składniki kwasów nukleinowych (DNA i RNA) oraz innych polinukleotydów, odgrywają też znaczącą rolę w metabolizmie i przekazywaniu sygnałów w komórce:
- Adenozynotrójfosforan (ATP) i guanozynotrójfosforan (GTP) stanowią główne źródło energii niezbędnej w wielu reakcjach chemicznych zachodzących w komórkach. Energia ta jest zmagazynowana w wiązaniach bezwodnikowych między grupami fosforanowymi.
- Cykliczny adenozynomonofosforan (cAMP) i cykliczny guanozynomonofosforan (cGMP) uczestniczą w szlakach sygnałowych i stanowią kofaktory dla enzymów (np. NAD+, FMN, FAD oraz koenzym A[1]).
Struktura
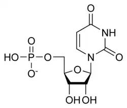
Nukleotydy zbudowane są z reszty cukrowej – pentozy (w DNA jest to deoksyryboza, zaś w RNA ryboza), co najmniej jednej reszty fosforanowej i zasady azotowej: purynowej, pirymidynowej lub flawinowej (niewystępującej w kwasach nukleinowych).
Grupa fosforanowa formuje wiązanie z 2, 3 lub 5 węglem w pierścieniu pentozowym. Najbardziej rozpowszechnione jest wiązanie między fosforanem a węglem 5. Nukleotydy cykliczne formują się, gdy dochodzi do połączenia grupy fosforanowej z dwiema grupami hydroksylowymi reszty cukrowej.
Kwasy nukleinowe to biopolimery zbudowane z nukleotydów połączonych wiązaniami fosfodiestrowymi 3'-5'. W naturze występują dwa typy kwasów nukleinowych – DNA i RNA – jednak obecnie istnieje także kilka syntetycznych analogów kwasów nukleinowych.
W kwasach nukleinowych, poza nukleotydami z pięcioma podstawowymi zasadami heterocyklicznymi kwasów nukleinowych (A, C, G, T, U), występują także (szczególnie często w tRNA) nukleotydy zawierające modyfikowane nukleozydy, na przykład pseudourydynę lub inozynę[2].
| A | G | C | T/U | |
|---|---|---|---|---|
| NMP | ![]() AMP |
![]() GMP |
![]() CMP |
![]() UMP |
| dNMP | ![]() dAMP |
![]() dGMP |
![]() dCMP |
![]() TMP |
Zestawienie wybranych nukleotydów
| Zasada azotowa |
Skrót | Para z... | Nukleozyd | Trójfosforan (nukleotyd) |
Wzór strukturalny zasady |
|---|---|---|---|---|---|
| adenina | A | T/U | adenozyna | ATP | ![]() |
| cytozyna | C | G | cytydyna | CTP | ![]() |
| guanina | G | C | guanozyna | GTP | ![]() |
| tymina | T | A | tymidyna | TTP | ![]() |
| uracyl | U | A | urydyna | UTP | ![]() |
| inne | NAD+ NADP+ NADH NADPH FAD FMN[a] | ||||
- NMP – 5'-monofosforan nukleozydu N
- NDP – 5'-difosforan nukleozydu N
- NTP – 5'-trifosforan nukleozydu N
Zobacz też
Uwagi
- ↑ Mononukleotyd flawinowy (FMN) nie zawiera rybozy, lecz jej pochodną, ryboflawinę.
Przypisy
Linki zewnętrzne
- Łukasz Urbaniak: "Nukleotydy i kwasy nukleinowe" w serwisie www.chemorganiczna.com. [zarchiwizowane z tego adresu].












