Reakcja Perkowa
Reakcja Perkowa – reakcja substytucji, w której fosforyn trialkilowy reaguje z α-halogenoketonem, tworząc nienasycony fosforan i halogenek alkilu[1][2]. Została opisana w 1952 r. przez niemieckiego chemika Wernera Perkowa (1915–1994) i współpr.[3][2][4][5]

Reakcja Perkowa może być niepożądaną reakcją uboczną podczas otrzymywania β-ketofosfonianów w reakcji Michaelisa-Arbuzowa (β-ketofosfoniany wykorzystuje się w reakcji Hornera-Wadswortha-Emmonsa z aldehydami i ketonami do otrzymywania E-alkenów).
Mechanizm reakcji
Pierwszym etapem reakcji Perkowa jest nukleofilowy atak wolnej pary elektronowej atomu fosforu na karbonylowy atom węgla α-halogenoketonu z wytworzeniem nietrwałej betainy. Związek ten ulega przegrupowaniu P−C−O → P−O−C z jednoczesną eliminacją anionu halogenu X−, który bierze udział w ostatnim etapie procesu, atakując atom węgla α jednej z grup estrowych, w efekcie czego następuje dealkilacja prowadząca do końcowego triestru kwasu fosforowego i halogenku alkilu[6].
Siłą napędową reakcji jest utworzenie silnego ugrupowania fosforylowego P=O, którego energia wynosi 137 kcal/mol (573 kJ/mol)[7].

Zastosowanie
Reakcja Perkowa wykorzystywana jest w syntezie organicznej, m.in. podczas tworzenia nowych wiązań C−C, przegrupowań oraz fosforylacji.
Przykładowe reakcje
Reakcja Perkowa zastosowana została do aktywacji heksachloroacetonu w syntezie pochodnych furanu mających właściwości repelentów[8]. Reakcja Perkowa zachodzi w pierwszym etapie procesu z wytworzeniem triestru fosforanowego zawierającego ligand pochodzący z heksachloroacetonu. Ester ten ulega transestryfikacji pod wpływem dodanego trifluoroetanolanu sodu, a wydzielony perchlorowany enolan traci anion chlorkowy tworząc zwitterjon będący substratem do ostatniego etapu – cykloaddycji [4+3].

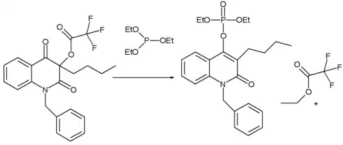
Reakcja Perkowa jest używana w syntezie aktywnych biologicznie pochodnych chinoliny. W zastosowanym substracie rolę grupy odchodzącej pełni ester trifluorooctanowy (zamiast halogenu)[9].

Arylowe fosforany enolowe powstające z dobrymi wydajnościami (rzędu 90%) w reakcji Perkowa mogą być stosowane jako czynniki fosforylujące, np. do przekształcenia AMP w ADP[10].
Przypisy
- ↑ W. Perkow, K. Ullerich, Fr. Meyer, Neue Phosphorsäureester mit pupillenverengender Wirkung, „Die Naturwissenschaften”, 39 (15), 1952, s. 353–353, DOI: 10.1007/BF00589945 (niem.).
- 1 2 Werner Perkow, Umsetzungen mit Alkylphosphiten. I. Mitteil.: Umlagerungen bei der Reaktion mit Chloral und Bromal, „Chemische Berichte”, 87 (5), 1954, s. 755–758, DOI: 10.1002/cber.19540870521 (niem.).
- ↑ W. Perkow, K. Ullerich, Fr. Meyer, Neue Phosphorsäureester mit pupillenverengender Wirkung, „Naturwissenschaften”, 39 (15), 1952, s. 353–353, DOI: 10.1007/BF00589945 (niem.).
- ↑ Frieder W. Lichtenthaler, The Chemistry and Properties of Enol Phosphates., „Chemical Reviews”, 61 (6), 1961, s. 607–649, DOI: 10.1021/cr60214a004 (ang.).
- ↑ Alexander Senning, Elsevier's Dictionary of Chemoetymology. The Whys and Whences of Chemical Nomenclature and Terminology, Elsevier, 2006, s. 301, ISBN 978-0-08-048881-3 [dostęp 2020-07-17] (ang.).
- ↑ Irving J. Borowitz i inni, Organophosphorus chemistry. XVII. Kinetics and mechanism of the Perkow reaction, „Journal of the American Chemical Society”, 94 (5), 1972, s. 1623–1628, DOI: 10.1021/ja00760a032 (ang.).
- ↑ A. Zwierzak, Zwięzły kurs chemii organicznej, t. 2, Łódź: Politechnika Łódzka, 2007, s. 282.
- ↑ Baldur Föhlisch, Stefan Reiner, Hexachloroacetone as a Precursor for a Tetrachloro-substituted Oxyallyl Intermediate: [4+3] Cycloaddition to Cyclic 1,3-Dienes, „Molecules”, 9 (1), 2004, s. 1–10, DOI: 10.3390/90100001, PMID: 18007406, PMCID: PMC6147576 (ang.).
- ↑ Oldřich Paleta i inni, New modification of the Perkow reaction: halocarboxylate anions as leaving groups in 3-acyloxyquinoline-2,4(1H,3H)-dione compounds, „Beilstein Journal of Organic Chemistry”, 1, 2005, DOI: 10.1186/1860-5397-1-17, PMID: 16551375, PMCID: PMC1399465 (ang.).
- ↑ Tomohisa Moriguchi i inni, Synthesis and Stability of 1-Phenylethenyl Phosphate Derivatives and their Phosphoryl Transfer Activity, „Letters in Organic Chemistry”, 1 (2), 2004, s. 140–144, DOI: 10.2174/1570178043488482 (ang.).