Celekoksyb
![]() | ||||||||||||||||||||||||
| ||||||||||||||||||||||||
| Ogólne informacje | ||||||||||||||||||||||||
| Wzór sumaryczny |
C17H14F3N3O2S | |||||||||||||||||||||||
|---|---|---|---|---|---|---|---|---|---|---|---|---|---|---|---|---|---|---|---|---|---|---|---|---|
| Masa molowa |
381,37 g/mol | |||||||||||||||||||||||
| Wygląd |
białe ciało stałe[1] | |||||||||||||||||||||||
| Identyfikacja | ||||||||||||||||||||||||
| Numer CAS | ||||||||||||||||||||||||
| PubChem | ||||||||||||||||||||||||
| DrugBank | ||||||||||||||||||||||||
| ||||||||||||||||||||||||
| ||||||||||||||||||||||||
| ||||||||||||||||||||||||
| ||||||||||||||||||||||||
| Jeżeli nie podano inaczej, dane dotyczą stanu standardowego (25 °C, 1000 hPa) | ||||||||||||||||||||||||
| Klasyfikacja medyczna | ||||||||||||||||||||||||
| ATC | ||||||||||||||||||||||||
| Stosowanie w ciąży |
kategoria C | |||||||||||||||||||||||
| ||||||||||||||||||||||||
| ||||||||||||||||||||||||
Celekoksyb, (łac. Celecoxibum) – lek niesteroidowy o działaniu przeciwzapalnym i przeciwbólowym. Hamuje działanie enzymu cyklooksygenazy biorącego udział w powstawaniu czynnika odpowiedzialnego za ból i stan zapalny. Powinowactwo do COX-2 jest ok. 375 razy większe niż COX-1[5], co tłumaczy korzystną właściwość w zakresie mniejszych objawów ubocznych dotyczących przewodu pokarmowego niż nieselektywne NLPZ.
Historia
Cząsteczka chemiczna celekoksybu została wynaleziona w roku 1993 przez firmę farmaceutyczną Pfizer, która wprowadziła go na rynek jako lek Celebrex w roku 1998. Ocenia się, że rocznie tym lekiem jest leczonych ok. 23 mln pacjentów[6].
Farmakokinetyka
Celekoksyb jest dobrze wchłaniany, maksymalne stężenie w surowicy krwi zachodzi po ok. 3 godzinach. Biologiczny okres półtrwania wynosi ok. 8-12 godzin. Metabolizm zachodzi w wątrobie.
Wskazania
- reumatoidalne zapalenie stawów
- stan zapalny i ból w chorobie zwyrodnieniowej stawów
- zapalenie mięśni i nerwów
- nerwobóle
- wspomagająco w leczeniu polipów jelita grubego i odbytu u pacjentów z rodzinną polipowatością gruczolakową[7].
Przeciwwskazania
- nadwrażliwość na lek
- astma
- ostry nieżyt nosa
- czynny wrzód trawienny
- krwawienie z przewodu pokarmowego
- niewydolność nerek i wątroby
- niewydolność mięśnia sercowego
- nadciśnienie tętnicze
- obrzęki
Działania niepożądane
- ból brzucha
- nudności
- wymioty
- biegunka
- niestrawność
- zapalenie błony śluzowej żołądka
- bóle i zawroty głowy
- znużenie
- bezsenność
- depresja
- infekcja górnych dróg oddechowych
- skórne reakcje alergiczne
- kołatanie serca
- duszności
- niedokrwistość
- zakażenie dróg moczowych
Preparaty
- Celebrex – kapsułki 0,1 g, 0,2 g
- Aclexa – kapsułki twarde, 0,1 g, 0,2 g
Dawkowanie
Doustnie. Dawkę i częstotliwość przyjmowania leku ustala lekarz. Zwykle 0,2 g raz dziennie lub w dwóch dawkach podzielonych. Maksymalna dobowa dawka leku wynosi 0,4 g.
Uwagi
Nie stosować leku w III trymestrze ciąży oraz w okresie karmienia piersią. Celekoksyb może wpływać na sprawność psychofizyczną, dlatego nie zaleca się prowadzenia pojazdów oraz obsługi urządzeń mechanicznych w trakcie jego przyjmowania.
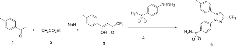
Synteza

Przypisy
- 1 2 Celecoxib (nr PZ0008) – karta charakterystyki produktu Sigma-Aldrich (Merck) na obszar Polski. [dostęp 2019-07-09]. (przeczytaj, jeśli nie wyświetla się prawidłowa wersja karty charakterystyki)
- 1 2 3 Celecoxib, [w:] DrugBank [online], University of Alberta, DB00482 (ang.).
- ↑ Celecoxib, [w:] ChemIDplus [online], United States National Library of Medicine [dostęp 2012-06-17] (ang.).
- ↑ Celecoxib, [w:] PubChem [online], United States National Library of Medicine, CID: 2662 (ang.).
- ↑ Karta leku na M.P.
- ↑ E. J. Corey, Barbara Czakó, László Kürti: Molecules and Medicine. Wiley, 2007. ISBN 978-0-470-22749-7.
- ↑ MedlinePlus drug information Celecoxib. MedlinePlus. [dostęp 2010-06-06]. (ang.).
Bibliografia
- Indeks leków Medycyny Praktycznej 2005. Kraków: Wydawnictwo Medycyna Praktyczna. ISBN 83-7430-006-X.
Przeczytaj ostrzeżenie dotyczące informacji medycznych i pokrewnych zamieszczonych w Wikipedii.
