Acetazolamid
| ||||||||||||||||||||||||||||||||||
| ||||||||||||||||||||||||||||||||||
| Ogólne informacje | ||||||||||||||||||||||||||||||||||
| Wzór sumaryczny |
C4H6N4O3S2 | |||||||||||||||||||||||||||||||||
|---|---|---|---|---|---|---|---|---|---|---|---|---|---|---|---|---|---|---|---|---|---|---|---|---|---|---|---|---|---|---|---|---|---|---|
| Masa molowa |
222,25 g/mol | |||||||||||||||||||||||||||||||||
| Wygląd |
biały lub prawie biały krystaliczny proszek[1] | |||||||||||||||||||||||||||||||||
| Identyfikacja | ||||||||||||||||||||||||||||||||||
| Numer CAS | ||||||||||||||||||||||||||||||||||
| PubChem | ||||||||||||||||||||||||||||||||||
| DrugBank | ||||||||||||||||||||||||||||||||||
| ||||||||||||||||||||||||||||||||||
| ||||||||||||||||||||||||||||||||||
| ||||||||||||||||||||||||||||||||||
| ||||||||||||||||||||||||||||||||||
| Podobne związki | ||||||||||||||||||||||||||||||||||
| Podobne związki |
metazolamid | |||||||||||||||||||||||||||||||||
| Jeżeli nie podano inaczej, dane dotyczą stanu standardowego (25 °C, 1000 hPa) | ||||||||||||||||||||||||||||||||||
| Klasyfikacja medyczna | ||||||||||||||||||||||||||||||||||
| ATC | ||||||||||||||||||||||||||||||||||
| Stosowanie w ciąży |
kategoria C | |||||||||||||||||||||||||||||||||
| ||||||||||||||||||||||||||||||||||
| ||||||||||||||||||||||||||||||||||
Acetazolamid (łac. acetazolamidum) – organiczny związek chemiczny, lek należący do grupy sulfonamidowych inhibitorów anhydrazy węglanowej. Do leczenia wprowadzony został w 1953 roku[3]. Jest słabym diuretykiem; jego działanie ustępuje po 3 dniach stosowania. Acetazolamid jest prekursorem sulfonamidowych leków moczopędnych, stosowanym obecnie głównie w leczeniu jaskry[8].
Historia
Horace Davenport z Harvard Medical School w latach 40. XX wieku odkrył, że bardzo duże ilości anhydrazy węglanowej znajdują się nerkach. Skłoniło to Rudolfa Höbera do wysnucia wniosku, iż niektóre skutki uboczne stosowania dużych dawek sulfonamidów, między innymi alkalizacja moczu i zwiększone jego wydalanie, wiążą się z inhibicją tego enzymu. Z kolei bostoński lekarz, William Schwartz, próbował wywołać diurezę u pacjentów z zastoinową niewydolnością serca, stosując w tym celu duże dawki sulfanilamidu. Próby nie przyniosły jednak większych rezultatów ze względu na poważne objawy niepożądane. Davenport, zainteresowany teorią przedstawioną przez Höbera, zaproponował współpracę nad silniejszymi inhibitorami anhydrazy węglanowej Richardowi Roblinowi, ówczesnemu pracownikowi firmy farmaceutycznej Cyanamid. Ten zsyntetyzował tiofeno-2-sulfonamid, związek, który 40-krotnie przewyższał siłą inhibicji sulfanilamid. Posłużył on Davenportowi do prowadzenia dalszych badań nad anhydrazą węglanową. Opublikowana w 1949 roku przez Schwartza praca na temat jego prób z sulfanilamidem zainteresowała Roblina. Wraz z Jamesem Clappem zsyntetyzował około 20 związków – heterocyklicznych sulfonamidów – spośród których największą siłą inhibicji wyróżniał się acetazolamid[9]. Wprowadzono go do lecznictwa w 1953 roku[10]. Acetazolamid od 1956 roku wypierał z lecznictwa klinicznego diuretyki rtęciowe[11].
Mechanizm działania


Anhydraza węglanowa jest enzymem, który katalizuje reakcję powstawania kwasu węglowego z dwutlenku węgla i wody. Acetazolamid hamuje anhydrazę węglanową w kanaliku bliższym nefronów w nerkach. Dzieje się to przez oddziaływanie atomu azotu z grupy sulfonamidowej na kation cynku grupy prostetycznej enzymu. Cząsteczka acetazolamidu dodatkowo jest stabilizowana przez wiązanie wodorowe między atomem azotu grupy sulfonamidowej i atomem tlenu grupy fenolowej tyrozyny 199 oraz między atomem azotu pierścienia tiadiazolowego i grupą OH tyrozyny 200[14].
Hamowanie aktywności anhydrazy węglanowej prowadzi do niedoboru jonów wodorowych (podwyższenie pH) i wodorowęglanowych, co uniemożliwia wymianę sód–wodór. Rezultatem tego jest zwiększone wydalanie wody, jonów sodowych i wodorowęglanowych, co prowadzi do kwasicy metabolicznej, będącej jednak w dużym stopniu zjawiskiem samoograniczającym się. Do kanaliku dalszego dociera zwiększona ilość jonów sodu, co nasila wymianę Na+/K+, czego następstwem może być hipokaliemia. Diuretyczne działanie acetazolamidu jest jednak krótkotrwałe – po 3 dniach stosowania zanikają jego właściwości moczopędne z powodu pojawienia się mechanizmów kompensacyjnych, niezależnych od anhydrazy węglanowej. Zahamowanie działania enzymu w wyrostkach rzęskowych w oku powoduje zmniejszenie ilości wytwarzanej cieczy wodnistej i spadek ciśnienia wewnątrzgałkowego. Efekty te, w przeciwieństwie do działania moczopędnego, są trwałe i nie ulegają zmianie w przypadku długotrwałego leczenia acetazolamidem[15][16][17]. Acetazolamid jest również stosowany jako lek wspomagający w leczeniu padaczki i napadów nieświadomości. Hamowanie anhydrazy węglanowej w obrębie OUN opóźnia nieprawidłowe wyładowania neuronów. Ponadto acetazolamid zmniejsza wydzielanie płynu mózgowo-rdzeniowego[10].
Acetazolamid jest inhibitorem co najmniej czterech izoform anhydrazy węglanowej, m.in. izoformy II, XII i XIII[18][19].
Farmakokinetyka
Acetazolamid dobrze wchłania się z przewodu pokarmowego. Po podaniu doustnie dawki 500 mg, maksymalne stężenie leku w osoczu występuje po 1–3 godzinach. Łatwo przechodzi on do wielu tkanek i narządów, m.in. do erytrocytów, nerek, wątroby, mięśni, gałki ocznej i ośrodkowego układu nerwowego[20], jak również przenika przez łożysko i do mleka matki[21]. Acetazolamid nie kumuluje się w organizmie[22]. Z białkami osocza wiąże się w 70–90%, a jego okres półtrwania wynosi 6–9 godzin. Nie podlega metabolizmowi, jest wydalany przez nerki w postaci niezmienionej[23].
Wskazania do stosowania
Obecnie acetazolamid nie jest stosowany ani w leczeniu nadciśnienia tętniczego, ani jako lek moczopędny. Jest jednak jednym z ważniejszych leków w leczeniu jaskry wtórnej oraz z otwartym kątem przesączania. W przypadku jaskry z zamkniętym kątem przesączania, acetazolamid stosuje się tylko w leczeniu krótkookresowym poprzedzającym operację. Krótkotrwały efekt działania acetazolamidu można wykorzystać w leczeniu stanów przebiegających z zasadowicą metaboliczną. Acetazolamid przyspiesza aklimatyzację w warunkach wysokogórskich przez przeciwdziałanie zasadowicy oddechowej, jednak jego wpływ na znoszenie objawów tej choroby jest niewielki[24][25]. Acetazolamid stosowany jest również przy obrzękach polekowych oraz obrzękach u chorych z niewydolnością serca. W padaczce grand mal, petit mal (u dzieci) oraz w napadach mieszanych acetazolamid używany jest w połączeniu z innymi lekami przeciwpadaczkowymi[26][27]. Alkalizacja moczu spowodowana wzrostem wydalania wodorowęglanów przez acetazolamid bywa niekiedy wykorzystywana w celu krótkotrwałego zwiększenia wydalania kwasu moczowego lub innych związków o charakterze kwaśnym[28].
Przeciwwskazania
Acetazolamid jest przeciwwskazany u chorych z[3]:
- hiponatremią lub hipokaliemią
- zaburzeniami czynności wątroby i nerek
- kamicą wapniową
- kwasicą hiperchloremiczną
- przewlekłą, niewyrównaną jaską z zamkniętym kątem przesączania, w leczeniu długotrwałym
- nadwrażliwością na acetazolamid lub sulfonamidy
Środki ostrożności[29]
- W przypadku nadwrażliwości na acetazolamid wystąpić mogą objawy podobne do tych występujących po zastosowaniu sulfonamidów, a mianowicie: zespół Stevensa-Johnsona, zespół Lyella, martwica wątroby, agranulocytoza, niedokrwistość aplastyczna i skaza krwotoczna.
- W badaniach na zwierzętach wykazano teratogenne i embriotoksyczne działanie acetazolamidu. Brak przeprowadzonych badań u kobiet w ciąży. Nie zaleca się więc stosowania acetazolamidu u kobiet ciężarnych, szczególnie w I trymestrze ciąży.
- Z uwagi na to że związek ten przenika do mleka matki, nie zaleca się jego stosowania u kobiet karmiących.
- Nie zaleca się jednoczesnego stosowania acetazolamidu i kwasu acetylosalicylowego w dużych dawkach, ze względu na możliwość wystąpienia ciężkich objawów ubocznych.
- Acetazolamid, zastosowany w dawkach większych niż zalecane, nie zwiększa diurezy, może natomiast nasilić senność i parestezje, dlatego w czasie leczenia pacjenci nie powinni prowadzić pojazdów mechanicznych ani obsługiwać maszyn.
- Lek może nasilać istniejącą kwasicę metaboliczną. Z tego względu należy zachować ostrożność u chorych z zatorem lub rozedmą płuc.
- Acetazolamid może powodować zmiany stężenia glukozy we krwi. Należy wziąć to pod uwagę przy ustalaniu dawkowania insuliny lub doustnych leków przeciwcukrzycowych.
- Substancja powoduje alkalizację moczu.
Interakcje
Acetazolamid nasila działanie antagonistów kwasu foliowego, leków zmniejszających stężenie cukru we krwi i doustnych leków przeciwzakrzepowych. Ponadto lek zwiększa stężenie karbamazepiny, fenytoiny i prymidonu, co może być przyczyną wystąpienia ciężkich powikłań, m.in. osteomalacji. Jednoczesne stosowanie acetazolamidu z amfetaminą, atropiną lub chinidyną może nasilić ich działania niepożądane. Acetazolamid zwiększa wydalanie litu, co może osłabiać jego działanie lecznicze[29].
Działania niepożądane
Działania niepożądane występują najczęściej na początku leczenia i nie mają nasilonego charakteru. Należą do nich[29]: parestezje, zaburzenia słuchu (szum uszny) i smaku, utrata apetytu, nudności, wymioty, biegunka, częstomocz.
Rzadziej mogą się pojawić zaburzenia gospodarki elektrolitowej, kwasica metaboliczna, senność, dezorientacja, przemijająca krótkowzroczność, kamica nerkowa, reakcje anafilaktyczne. Sporadycznie może wystąpić pokrzywka, krwiomocz, cukromocz, niewydolność wątroby, porażenie wiotkie, nadwrażliwość na światło, kolka wątrobowa lub nerkowa[29].
Dawkowanie
| Droga podania | Zalecana dawka jednorazowa (g) |
Zalecana dawka dobowa (g) |
Maksymalna dawka jednorazowa (g) |
Maksymalna dawka dobowa (g) |
|---|---|---|---|---|
| doustnie | 0,25–0,5 | 0,5–1,5 | 0,5 | 1,5 |
W przypadku jaskry, dawkowanie ustala się w zależności od wartości ciśnienia wewnątrzgałkowego. Najczęściej stosuje się[29]:
- w jaskrze z otwartym kątem przesączania – 250 mg 1–4 razy na dobę
- w jaskrze wtórnej – 250 mg co 4 godziny.
W ostrych napadach tej choroby podaje się acetazolamid w dawce 250 mg 4 razy na dobę. Nie zaleca się przekraczania dziennej dawki 1000 mg[29].
Leczenie przeciwpadaczkowe rozpoczyna się od dawki acetazolamidu 250 mg 1 raz na dobę, zwiększając ją stopniowo w razie potrzeby. Optymalna dawka wynosi 375–1000 mg, tj. od 8 do 30 mg/kg mc., 1–4 razy dziennie. Maksymalna dawka dobowa dla dzieci wynosi 750 mg[29].
W leczeniu obrzęków stosuje się 250–375 mg acetazolamidu, raz na dobę, rano. Optymalny efekt moczopędny występuje wtedy, gdy lek stosuje się co drugi dzień lub przez 2 dni z jednodniową przerwą[29].
W przypadku zapobiegania wystąpieniu choroby wysokościowej, acetazolamid podaje się w dawkach 500–1000 mg na dobę, w dawkach podzielonych. Przy szybkim zdobywaniu wysokości, stosuje się 1000 mg na dobę. Acetazolamid należy zastosować 24–48 godzin przez planowaną wspinaczką[29].
Przedawkowanie
Nie odnotowano przypadku przedawkowania acetazolamidu u ludzi. Mogą wystąpić zaburzenia równowagi elektrolitowej, kwasica metaboliczna oraz zaburzenia ze strony ośrodkowego układu nerwowego. W przypadku zażycia większej niż zalecana, dawki acetazolamidu, należy kontrolować stężenie elektrolitów we krwi oraz jej pH oraz wdrożyć leczenie objawowe. Jeżeli wystąpi kwasica, należy zastosować wodorowęglany. Brak swoistego antidotum. Hemodializa usuwa acetazolamid z organizmu[31].
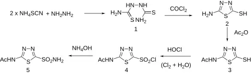
Synteza chemiczna
Synteza chemiczna acetazolamidu rozpoczyna się od reakcji hydrazyny z tiocyjanianem amonu, w wyniku której powstaje 2,5-ditiobimocznik. Związek ten poddaje się reakcji cyklizacji z fosgenem, otrzymując 2-amino-5-merkapto-1,3,4-tiadiazol, na który działa się bezwodnikiem octowym acetylującym grupę aminową. Tak powstały związek poddaje się reakcji z chlorem, a następnie z amoniakiem, otrzymując acetazolamid[32].

- Schemat syntezy acetazolamidu
Preparaty
Dostępne w Polsce preparaty proste[33]:
- Diuramid – tabletki 250 mg
Przypisy
- 1 2 Farmakopea Polska IX, Polskie Towarzystwo Farmaceutyczne, Warszawa: Urząd Rejestracji Produktów Leczniczych, Wyrobów Medycznych i Produktów Biobójczych, 2011, s. 4574, ISBN 978-83-88157-77-6.
- 1 2 Acetazolamide, [w:] PubChem [online], United States National Library of Medicine, CID: 1986 (ang.).
- 1 2 3 4 5 Gary O. Rankin: Acetazolamide. W: xPharm: The Comprehensive Pharmacology Reference. Elsevier, 2008. DOI: 10.1016/B978-008055232-3.61158-4.
- ↑ Farmakopea Polska VI, Polskie Towarzystwo Farmaceutyczne, Warszawa: Urząd Rejestracji Produktów Leczniczych, Wyrobów Medycznych i Produktów Biobójczych, 2002, s. 1176, ISBN 83-88157-18-3.
- 1 2 CRC Handbook of Chemistry and Physics, William M. Haynes (red.), wyd. 97, Boca Raton: CRC Press, 2016, s. 3-4, 5-88, ISBN 978-1-4987-5429-3 (ang.).
- ↑ Karta charakterystyki substancji niebezpiecznej Acetazolamide SC-214461. Santa Cruz Biotechnology. [dostęp 2016-10-28]. (ang.).
- 1 2 Acetazolamide, [w:] DrugBank [online], University of Alberta, DB00819 (ang.).
- ↑ R.S. Kumar, D.T. Tan, Y.M. Por, F.T. Oen i inni. Glaucoma management in patients with osteo-odonto-keratoprosthesis (OOKP): the Singapore OOKP Study. „J Glaucoma”. 18 (5). s. 354–360. DOI: 10.1097/IJG.0b013e31818456a4. PMID: 19525724.
- ↑ Walter Sneader: Drug discovery: a history. Chichester: John Wiley & Sons, 2005, s. 390–391. ISBN 978-0-471-89979-2.
- 1 2 A. Zejc, M. Gorczyca: Chemia leków. Warszawa: Wydawnictwo Lekarskie PZWL, 2004, s. 799. ISBN 83-200-2971-6.
- ↑ Claudia Temperini, Alessandro Cecchi, Andrea Scozzafava, Claudiu T. Supuran. Carbonic anhydrase inhibitors. Sulfonamide diuretics revisited-old leads for new applications?. „Org. Biomol. Chem.”. 6 (14), s. 2499–2506, 2008. The Royal Society of Chemistry. DOI: 10.1039/B800767E.
- ↑ K.H. Sippel, A.H. Robbins, J. Domsic, C. Genis i inni. High-resolution structure of human carbonic anhydrase II complexed with acetazolamide reveals insights into inhibitor drug design. „Acta Crystallogr Sect F Struct Biol Cryst Commun”. 65 (Pt 10), s. 992–925, październik 2009. DOI: 10.1107/S1744309109036665. PMID: 19851004.
- ↑ A. Di Fiore, S.M. Monti, M. Hilvo, S. Parkkila i inni. Crystal structure of human carbonic anhydrase XIII and its complex with the inhibitor acetazolamide. „Proteins”. 74 (1), s. 164–175, styczeń 2009. DOI: 10.1002/prot.22144. PMID: 18618712.
- ↑ Zinc Enzyme Models. W: Hugh Allen Oliver Hill, P.J. Sadler, A.J. Thomson: Metal sites in proteins and models: phosphatases, Lewis acids, and vanadium. Springer, 1999, s. 8–10. ISBN 3-540-65553-0.
- ↑ ACETAZOLAMIDE in glaucoma. „Br Med J”. 2 (4937), s. 479–481, sierpień 1955. PMID: 13240156.
- ↑ J.J. Kanski. Carbonic anhydrase inhibitors and osmotic agents in glaucoma. Carbonic anhydrase inhibitors. „Br J Ophthalmol”. 52 (8), s. 642–643, sierpień 1968. PMID: 5724852.
- ↑ F. Mincione, A. Scozzafava, C.T. Supuran. The development of topically acting carbonic anhydrase inhibitors as antiglaucoma agents. „Curr Pharm Des”. 14 (7), s. 649–654, 2008. PMID: 18336310.
- ↑ A. Innocenti, M. Hilvo, A. Scozzafava, M. Lindfors i inni. Carbonic anhydrase inhibitors: the very weak inhibitors dithiothreitol, beta-mercaptoethanol, tris(carboxyethyl)phosphine and threitol interfere with the binding of sulfonamides to isozymes II and IX. „Bioorg Med Chem Lett”. 18 (6), s. 1898–1903, marzec 2008. DOI: 10.1016/j.bmcl.2008.02.008. PMID: 18295485.
- ↑ S.K. Nair, J.F. Krebs, D.W. Christianson, C.A. Fierke. Structural basis of inhibitor affinity to variants of human carbonic anhydrase II. „Biochemistry”. 34 (12), s. 3981–3989, marzec 1995. PMID: 7696263.
- ↑ M.K. Alberts, C.R. Clarke, C.G. MacAllister, L.M. Homer. Pharmacokinetics of acetazolimide after intravenous and oral administration in horses. „Am J Vet Res”. 61 (8), s. 965–968, sierpień 2000. PMID: 10951991.
- ↑ P. Söderman, P. Hartvig, C. Fagerlund. Acetazolamide excretion into human breast milk. „Br J Clin Pharmacol”. 17 (5), s. 599–600, maj 1984. PMID: 6733009.
- ↑ W.A. Ritschel, C. Paulos, A. Arancibia, M.A. Agrawal i inni. Pharmacokinetics of acetazolamide in healthy volunteers after short- and long-term exposure to high altitude. „J Clin Pharmacol”. 38 (6), s. 533–539, czerwiec 1998. PMID: 9650543.
- ↑ W.A. Ritschel, C. Paulos, A. Arancibia, M.A. Agrawal i inni. Urinary excretion of acetazolamide in healthy volunteers after short- and long-term exposure to high altitude. „Methods Find Exp Clin Pharmacol”. 20 (2), s. 133–137, marzec 1998. PMID: 9604855.
- ↑ M.C. van Patot, G. Leadbetter, L.E. Keyes, K.M. Maakestad i inni. Prophylactic low-dose acetazolamide reduces the incidence and severity of acute mountain sickness. „High Alt Med Biol”. 9 (4), s. 289–293, 2008. DOI: 10.1089/ham.2008.1029. PMID: 19115912.
- ↑ O. Dunin-Bell, S. Boyle. Secondary prevention of HAPE in a Mount Everest summiteer. „High Alt Med Biol”. 10 (3), s. 293–296, 2009. DOI: 10.1089/ham.2008.1094. PMID: 19775220.
- ↑ F. Katayama, H. Miura, S. Takanashi. Long-term effectiveness and side effects of acetazolamide as an adjunct to other anticonvulsants in the treatment of refractory epilepsies. „Brain Dev”. 24 (3), s. 150–154, kwiecień 2002. PMID: 11934510.
- ↑ W.G. Reiss, K.S. Oles. Acetazolamide in the treatment of seizures. „Ann Pharmacother”. 30 (5), s. 514–519, maj 1996. PMID: 8740334.
- ↑ Farmakologia: podstawy farmakoterapii. Podręcznik dla studentów medycyny i lekarzy pod redakcją Wojciecha Kostowskiego i Zbigniewa S. Hermana. Warszawa: Wydawnictwo Lekarskie PZWL, 2008, s. 180–181. ISBN 978-83-200-3725-8.
- 1 2 3 4 5 6 7 8 9 Charakterystyka produktu leczniczego. [w:] Diuramid® [on-line]. Polpharma SA. [dostęp 2012-02-18]. (pol.).
- ↑ Farmakopea Polska VIII, Polskie Towarzystwo Farmaceutyczne, Warszawa: Urząd Rejestracji Produktów Leczniczych, Wyrobów Medycznych i Produktów Biobójczych, 2008, s. 3491, ISBN 978-83-88157-53-0.
- ↑ M.H. Schwenk, W.L. St Peter, M.G. Meese, P.C. Singhal. Acetazolamide toxicity and pharmacokinetics in patients receiving hemodialysis. „Pharmacotherapy”. 15 (4). s. 522–527. PMID: 7479208.
- ↑ Ruben S. Vardanyan: Synthesis of essential drugs. Amsterdam [etc.]: Elsevier, 2006, s. 131. ISBN 978-0-444-52166-8.
- ↑ Obwieszczenie Prezesa Urzędu Rejestracji Produktów Leczniczych, Wyrobów Medycznych i Produktów Biobójczych z dnia 31 marca 2011 r. w sprawie ogłoszenia Urzędowego Wykazu Produktów Leczniczych Dopuszczonych do Obrotu na terytorium Rzeczypospolitej Polskiej. [dostęp 2012-02-17]. (pol.).
Bibliografia
- ScienceDirect – xPharm: The Comprehensive Pharmacology Reference Home Page. s. 223–237. [dostęp 2009-11-27].
- Jan Kazimierz Podlewski, Alicja Chwalibogowska-Podlewska, Robert Adamowicz: Leki współczesnej terapii. Warszawa: Split Trading, 2005, s. 6. ISBN 83-85632-82-4.
Przeczytaj ostrzeżenie dotyczące informacji medycznych i pokrewnych zamieszczonych w Wikipedii.

